전기기사 실기 공부를 위해 교재 속 '전기기사 실기 22년도 단답 문제' 모음 및 개념 정리 글입니다. 전기기사 실기 시험에 조금이라도 도움이 되길 바랍니다.
1. 최대수용전력이 5000[kW]이고, 부하 역률이 90[%], 네트워크 수전방식의 회선 수는 4회선이다. 변압기의 과부하율이 130[%]인 경우 네트워크 변압기의 용량 [kVA]을 구하시오.
네트워크 변압기 용량 = 최대수요전력[kVA] / (공급피더수 -1) x (100/ 과부하율 [%]) = (5000/0.9) / (4-1) x 100/130 = 1424.50 [kVA]
* 네트워크 변압기 용량 공식 (출처 전기기사 실기 문제풀이 (네트워크 변압기 용량.. : 네이버블로그)

네트워크 수전방식은 한 개의 회선이 고장나도 정상적으로 전력을 공급하기 위해 사용되는 방식이다. 따라서 네트워크 변압기 용량의 계산은 공급피더수(= 회선 수)에서 1개가 고장난 상황을 예상한 값으로 계산한다.
과부하율은, 변압기가 과부하상태로 운전 중인데 그 상태가 최대 130%(문제에서 주어짐)로 사용하고 있다는 의미이다. 따라서 원래의 변압기 용량인 100%일 때의 용량을 알기 위해서 100/130 을 고려해주어야 한다.
2. 154[kV] 중성점 직접접지계통에서 접지계수가 0.75이고, 유도계수가 1.1인 경우 전력용 피뢰기의 정격전압[kV]을 주어진 표에서 선정하시오.

피뢰기의 정격전압 Vn[kV] = 접지계수 x 여유도(유도계수) x 계통의 최고전압[kV] = 0.75 x 1.1 x 170 = 140.25[kV]
답: 140.25[kV]
3. 건축물의 설계도서 작성기준에 따라 설계도서, 법령해석, 감리자의 지시 등이 서로 일치하지 아니하는 경우에 있어 계약으로 그 적용의 우선순위를 정하지 아니한 때에 설계도서 해석의 우선순위를 [보기]에서 선택하여 높은 순위에서 낮은 순위 순서로 쓰시오. (단, 답은 기호로 표시한다.)
[보기]
ㄱ. 설계도면 ㄴ. 공사시방서 ㄷ. 산출내역서 ㄹ. 전문시방서 ㅁ. 표준시방서 ㅂ. 감리자의 지시사항
답: ㄴ > ㄱ > ㄹ > ㅁ > ㄷ > ㅂ
4. 측정범위 1[mA], 내부저항 20[k옴]의 전류계에 분류기를 붙여서 6[mA]까지 측정하고자 한다. 이때 필요한 분류기의 저항 [k옴]을 구하시오.
배율 m = Io / I = (r / Rs) + 1 이므로 분류기 저항 Rs = r / (m-1) = 20k / (6 - 1) = 4[k옴]
답: 4[k옴]
5. 한국전기설비규정에 따라 기계기구 및 전선을 보호하기 위하여 필요한 곳에는 과전류차단기를 시설하여야 하는데, 과전류차단기의 시설을 제한하고 있는 개소가 있다. 이 과전류차단기의 시설 제한 개소를 3가지 쓰시오.
1) 접지 공사의 접지도체
2) 다선식 전로의 중성선
3) 저압 가공 전선로의 접지측 전선
6. 누전차단기의 시설 예에 대한 표의 빈 칸에 ○, △, □를 사용하여 표를 완성하시오.
| 기계기구 시설장소 \ 전로 대지전압 |
옥 내 | 옥 측 | 옥외 | 물기가 있는 장소 | ||
| 건조한 장소 | 습기가 많은 장소 | 우선 내 | 우선 외 | |||
| 150[V] 이하 | - | - | - | |||
| 150[V] 초과 300[V] 이하 |
- | |||||
답:
| 기계기구 시설장소 \ 전로 대지전압 |
옥 내 | 옥 측 | 옥외 | 물기가 있는 장소 | ||
| 건조한 장소 | 습기가 많은 장소 | 우선 내 | 우선 외 | |||
| 150[V] 이하 | - | - | - | ㅁ | ㅁ | ㅇ |
| 150[V] 초과 300[V] 이하 |
△ | ㅇ | - | ㅇ | ㅇ | ㅇ |
* 누전차단기 시설 예
미모의 서울 아이유로 외우면 잘 외워집니다.

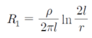
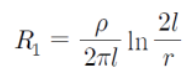
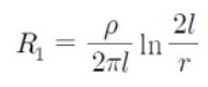
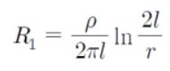
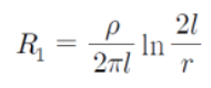
7. 대지 고유 저항률 400[옴·m]의 장소에 직경 19[mm], 길이 2400[mm] 접지봉을 전부 타입하여 설치할 경우 접지저항값[옴]을 구하시오.
접지봉의 접지저항 공식에서 ρ = 400, l = 2.4, r = 0.0019/2를 대입해주면 접지저항 R = 165.13[옴]

답: 165. 13[옴]
* 전극계의 접지저항 산정식 (반구, 원판, 막대모양)

8. 50 [Hz]로 사용하던 전력용 커패시터를 같은 전압의 60[Hz]로 사용하는 경우 흐르는 전류는 몇 [%] 증가 또는 감소하는지 구하시오.
커패시터에 흐르는 전류 Ic = wCV = 2πfCV ∝f 이므로 주파수 변경 후 전류 Ic' = (f' / f) x Ic = 1.2 Ic
즉 주파수 변경 후의 전류(Ic')는 변경 전의 전류 (Ic)보다 1.2배(120%) 크다. 따라서 전력용 커패시터에 흐르는 전류는 50[Hz]로 사용하였을 때 보다 20% 증가한다.
답: 20% 증가
9. 한국전기설비규정에서 정하는 다음의 각 용어에 대한 정의를 쓰시오.
1) PEM 도체(protective earthing conductor and a mid-point conductor)
직류회로에서 중간도체 겸용 보호도체를 말한다.
2) PEL 도체(protective earthing conductor and a line conductor)
직류회로에서 선도체 겸용 보호도체를 말한다.
(추가)
PEN 도체(protective earthing conductor and neutral conductor): 교류회로에서 중성선 겸용 보호도체를 말한다.
10. 다음은 전기안전관리자의 직무에 관한 고시에 따라 안전관리업무를 대행하는 전기안전관리자가 점검을 실시해야 하는 전기설비의 용량별 점검 횟수 및 간격에 대한 기준을 나타낸 것이다. ( ) 안에 알맞은 내용을 쓰시오.
| 용량별 | 점검횟수 | 점검간격 | |
| 저압 | 1 ~ 300 [kW] 이하 | 월1회 | 20일 이상 |
| 300 [kW] 초과 | 월2회 | 10일 이상 | |
| 고압 | 1 ~ 300 [kW] 이하 | 월1회 | 20일 이상 |
| 300 [kW] 초과 ~ 500 [kW] 이하 | 월 ( A ) 회 | ( B )일 이상 | |
| 500 [kW] 초과 ~ 700 [kW] 이하 | 월 ( C ) 회 | ( D )일 이상 | |
| 700 [kW] 초과 ~ 1500 [kW] 이하 | 월 ( E ) 회 | ( F )일 이상 | |
| 1500 [kW] 초과 ~ 2000 [kW] 이하 | 월 ( G ) 회 | ( H )일 이상 | |
| 2000 [kW] 초과 ~ | 월 ( I ) 회 | ( J )일 이상 | |
답:
| A | B | C | D | E | F | G | H | I | J |
| 2 | 10 | 3 | 7 | 4 | 5 | 5 | 4 | 6 | 3 |
* 전기안전관리자의 직무에 관한 고시 제4조(점검주기 및 점검횟수)

11. 다음은 전력시설물 공사감리업무 수행지침에서 정하는 설계변경 및 계약금액 조정에 대한 사항의 일부를 나타낸 것이다. ( ) 안에 알맞은 내용을 쓰시오.
감리원은 설계변경 등으로 인한 계약금액의 조정을 위한 각종서류를 공사업자로부터 제출받아 검토, 확인한 후 감리업자에게 보고하여야 하며, 감리업자는 소속 비상주감리원에게 검토, 확인하게 하고 대표자 명의로 발주자에게 제출하여야 한다. 이때 변경 설계도서의 설계자는 ( A ), 심사자는 ( B )이 날인하여야 한다. 다만, 대규모 통합감리의 경우, 설계자는 실제 설계 담당 감리원과 책임감리원이 연명으로 날인하고 변경설계도서의 표지양식은 사전에 발주처와 협의하여 정한다.
A: 책임감리원, B: 비상주감리원
12. 다음은 한국전기설비규정에서 정하는 전선의 식별에 대한 기준이다. ( ) 안에 알맞은 내용을 쓰시오.
1) 전선의 색상은 다음의 표(전선식별)에 따른다.
| 상(문자) | 색상 |
| L1 | ( A ) |
| L2 | 검은색 |
| L3 | ( B ) |
| N | ( C ) |
| 보호도체 | ( D ) |
A: 갈색, B: 회색, C: 파란색, D: 녹색 - 노란색
* 전선의 식별 (전선 색상)
"갈 검 회 청" 으로 외우면 쉽게 외워집니다.

13. 어느 수용가의 수 변전 설비도에 대한 다음 물음에 답하시오.
1) 22.9 kV 측의 DS의 정격 전압을 쓰시오
25.8 [kV]
2) MOF의 역할을 쓰시오
전력량을 적산하기 위하여 고전압과 대전류를 저전압과 소전류로 변성
3) PF의 역할을 쓰시오
단락 전류 및 고장 전류의 차단
4) 22.9 kV의 LA의 정격전압을 쓰시오.
18 kV
5) MOF에 연결되어 있는 DM의 명칭을 쓰시오.
최대 수요 전력량계
6) 하나의 전압계로 3상의 상전압이나 선간전압을 측정할 수 있는 스위치를 약호로 쓰시오.
VS
7) 하나의 전류계로 3상의 전류를 측정할 수 있는 스위치를 약호로 쓰시오.
AS
8) CB의 역할을 쓰시오.
단락 및 과부하, 지락 사고 등 사고 전류 차단 및 부하 전류를 개폐
9) 3.3 kV 측의 ZCT 역할을 쓰시오
지락 사고시 영상전류를 검출
10) ZCT에 연결되어 있는 GR의 역할을 쓰시오
지락사고시 영상변류기로부터 검출된 지락 전류를 입력으로 하여 정정치 이상이 되면 차단기로 동작신호를 출력.
11) SC의 역할을 쓰시오.
부하의 역률을 개선
12) 3.3 kV 측의 CB에서 600A는 무엇을 의미하는가?
정격전류
13) OS의 명칭을 쓰시오
유입 개폐기
14. 어느 기간 중에서의 수용가의 최대 수요전력[kW]과 그 수용가가 설치하고 있는 설비 용량의 합계[kW]와의 비를 나타내는 용어를 쓰시오.
수용률
* 전력설비 용어
1) 수용률 (Demand Factor)
정의: 최대수용전력과 설비용량과의 비를 나타낸다.
의미: 수용 설비가 동시에 사용되는 정도를 나타내며 주상 변압기 등의 적정공급 설비 용량을 파악하기 위하여 사용한다.

2) 부하율
정의: 어떤 기간 중의 평균수용전력과 최대수용전력과의 비를 나타낸다.
의미: 공급 설비가 어느 정도 유효하게 사용되는가를 나타내며 부하율이 클수록 공급 설비가 유효하게 사용된다.

3) 부등률
정의: 어떤 계통 또는 그 일부에서 개개의 최대 수용의 합, 그 계통 또는 일부의 합성 최대 수용에 대한 비를 이른다.
의미: 각 부하가 최대부하를 나타내는 시간대가 각각 다른 정도를 나타내며, 항상 1보다 크다.

15. 다음 설명은 상용전원과 예비전원 운전 시 유의하여야 할 사항이다. ( ) 안에 알맞은 내용을 답란에 쓰시오.
"상용전원설비와 예비전원설비 사이에는 병렬운전을 하지 않는 것이 원칙이므로 수전용 차단기와 발전용차단기 사이에는 전기적 또는 기계적으로 ( A )을 시설하여야 하며 ( B )를 사용하여야 한다."
A: 인터록, B: 자동 절환 개폐 장치
16. 다음 그림은 계전기의 심벌이다. 각각의 명칭을 우리말로 쓰시오.
1) OCR: 과전류 계전기
2) OVR: 과전압 계전기
3) UVR: 부족전압 계전기
4) GR: 지락 계전기
* 계전기 약어 및 명칭
약어 한글 명칭 영문 명칭
| CLR | 한류 계전기 | Current Limiting Relay |
| CR | 전류 계전기 | Current Relay |
| DFR | 차동 계전기 | Differential Relay |
| FR | 주파수 계전기 | Frequency Relay |
| GR | 지락 계전기 | Ground Relay |
| OCR | 과전류 계전기 | Over Current Relay |
| OSR | 과속도 계전기 | Over Speed Relay |
| OPR | 결상 계전기 | Open Phase Relay |
| OVR | 과전압 계전기 | Over Voltage Relay |
| PLR | 극성 계전기 | Polarity Relay |
| POR | 위치 계전기 | Position Relay |
| PRR | 압력 계전기 | Pressure Relay |
| RCR | 재폐로 계전기 | Reclosing Relay |
| SPR | 속도 계전기 | Speed Relay |
| SR | 단락 계전기 | Short-circuit Relay |
| TDR | 시연 계전기 | Time Delay Relay |
| THR | 열동 계전기 | Thermal Relay |
| TLR | 한시 계전기 | Time Lag Relay |
| TR | 온도 계전기 | Temperature Relay |
| UVR | 부족전압 계전기 | Under Voltage Relay |
| VR | 전압 계전기 | Voltage Relay |
| EOCR | 전자식 과전류 계전기 | Electronic Over Current Relay |
| MCC | 모터 컨트롤 콘덴서 | Motor Control Condenser |
17. 그림은 고압유도전동기의 기동반 단선결선도이다. 이 그림을 보고 다음 각 물음에 답하시오.

1) 이 그림에서 적용한 고압유도전동기의 기동방식은?
리액터 기동법
2) 단선결선도에서 표시한 번호 1~4 기기의 명칭을 쓰시오.
1. 기동용 리액터
2. 직렬 리액터
3. 전력용 콘덴서
4. 서지흡수기
18. 전기설비를 방폭화한 방폭기기의 구조에 따른 종류 4가지만 쓰시오.
내압 방폭구조, 압력 방폭구조, 유입 방폭구조, 안전증 방폭구조
19. 그림은 22.9[kV-Y] 1000[kVA] 이하에 적용 가능한 특고압 간이 수전설비의 표준 결선도이다. 이 결선도를 보고 다음 각 물음에 답하시오.

1) 300[kVA] 이하인 경우에 자동고장구분개폐기 대신 사용할 수 있는 것을 쓰시오
인터럽터 스위치
2) 본 도면에서 사용된 시설 중 생략할 수 있는 것은 어느 것인지 쓰시오.
LA용 DS
3) LA는 어떤 장치가 붙어 있는 형태의 것을 사용하여야 하는지 쓰시오.
Disconnector 또는 Isolator
4) 인입선을 지중선으로 시설하는 경우로 공동주택 등 고장 시 정전 피해가 큰 경우는 예비 지중선을 포함하여 몇 회선으로 시설하여야 하는지 쓰시오.
2회선
5) 22.9[kV-Y] 지중인입선에는 어떤 종류의 케이블을 사용하여야 하는지 쓰시오.
CNCV-W(수밀형) 또는 TR-CNCV-W(트리억제형)
6) 300kVA] 이하인 경우 PF 대신 COS를 사용할 수 있다. 이 경우 COS의 비대칭 차단전류용량은 몇 [kA] 이상의 것을 사용하여야 하는지 쓰시오.
10 [kA]
20. 리액터의 사용 목적에 따른 종류를 쓰시오.
| 사용 목적 | 리액터 종류 |
| 단락사고 시 단락전류 제한 정부하시 페란티 현상 방지 변압기 중성점 아크 소호 |
A B C |
A: 한류리액터, B: 분로리액터, C: 소호리액터
* 리액터 종류 및 역할
리액터: 늦은 전류를 취하여 이상전압의 상승을 억제한다.
| 리액터 종류 | 사용 목적 |
| 한류 리액터 분로 리액터 소호 리액터 직렬 리액터 |
단락전류 제한 페란티 현상 방지 지락아크 소호 제5고조파 제거 |
다음 글
전기기사 실기 23년도 단답 문제 및 개념 정리
전기기사 실기 공부를 위해 인터넷에 돌아다니는 '전기기사 실기 23년도 단답 문제' 모음 및 개념 정리 글입니다. (출처 'https://m.blog.naver.com/feedbackloop_', ' 실기 단답암기, 수호랑의 전기생활 : 네
favdays.com
전기기사 실기 21년도 단답 문제 및 개념 정리
전기기사 실기 공부를 위해 교재 속 '전기기사 실기 21년도 단답 문제' 모음 및 개념 정리 글입니다. 전기기사 실기 시험에 조금이라도 도움이 되길 바랍니다.1. 접지 저항을 결정하는 3가지 저항
favdays.com
'전기기사 > 단답' 카테고리의 다른 글
| 전기기사 실기 단답 2010~2024년 pdf 자료 공유 (3) | 2025.08.09 |
|---|---|
| 전기기사 실기 21년도 단답 문제 및 개념 정리 (1) | 2025.07.02 |
| 전기기사 실기 20년도 단답 문제 및 개념 정리 (1) | 2025.07.01 |
| 전기기사 실기 19년도 단답 문제 및 개념 정리 (0) | 2025.06.29 |
| 전기기사 실기 18년도 단답 문제 및 개념 정리 (0) | 2025.06.29 |