전기기사 실기 공부를 위해 교재 속 '전기기사 실기 19년도 단답 문제' 모음 및 개념 정리 글입니다. 전기기사 실기 시험에 조금이라도 도움이 되길 바랍니다.
1. 스폿 네트워크 (Spot Network) 수전방식에 대하여 설명하고 특징 4가지를 쓰시오.
1) Spot Network 방식이란?
배전용 변전소로부터 2회선 이상의 배전선으로 수전하는 방식으로 배전선 1회선에 사고가 발생한 경우일지라도 다른 건전한 회선으로부터 자동적으로 수전할 수 있는 무정전 방식으로 신뢰도가 매우 높은 방식이다.
2) 특징
ㄱ. 무정전 전력공급이 가능하다
ㄴ. 공급신뢰도가 높다
ㄷ. 전압 변동률이 낮다
ㄹ. 부하증가에 대한 적응성이 좋다
2. 진공차단기의 특징 3가지
1) 차단 성능이 우수하고, 차단 시간이 짧다.
2) 소형, 경량이다
3) 수명이 길고, 보수가 거의 불필요하다.
* 진공차단기 (VCB): 고진공 속에서 전자의 고속도 확산을 이용한 차단기이다.
1) 장점
ㄱ. 차단시간이 짧고, 차단성능이 주파수의 영향을 받지 않는다.
ㄴ. 접점소모가 작고, 개폐수명이 길다.
ㄷ. 소형, 경량으로 다단 적재가 가능하다.
ㄹ. 완전 밀봉형이므로 안전하며 소음도 적다
ㅁ. 화재의 위험성이 없다
2) 단점
ㄱ. 아크 제단현상으로 인해 개폐서지가 발생한다.
ㄴ. 진공도의 열화판정이 곤란하다.
3. 공급변압기의 2차측 단자(전기사업자로부터 전기의 공급을 받고 있는 경우는 인입선 접속점)에서 최원단의 부하에 이르는 전선의 길이가 60[m]인 경우 전압강하 값을 쓰시오.
| 설비의 유형 | 조명 (%) | 기타 (%) |
| A - 저압으로 수전하는 경우 | A | B |
| B - 고압 이상으로 수전하는 경우 | C | D |
A: 3, B: 5, C: 6, D: 8
* 수용가 설비에서의 전압강하

4. 태양광 발전에 대한 다음 각 물음에 답하시오.
1) 태양광 발전의 장점 4가지
ㄱ. 규모에 관계없이 발전 효율이 일정하다.
ㄴ. 태양이 쪼이는 곳이라면 어디에서나 설치할 수 있고 보수가 용이하다.
ㄷ. 자원이 반영구적이다.
ㄹ. 확산광(산란광)도 이용할 수 있다.
2) 태양광 발전의 단점 2가지
ㄱ. 태양광의 에너지 밀도가 낮다.
ㄴ. 비가 오거나 흐린 날씨에는 발전능력이 저하한다.
5. 접지저항을 측정하기 위하여 사용되는 계기 및 측정방법의 명칭을 쓰시오
1) 측정 계기
어스테스터 (접지저항 측정기)
2) 측정방법의 명칭
콜라우시 브리지에 의한 3극 접지저항 측정법
6. 부하의 역률 개선에 대한 다음 각 물음에 답하시오.
1) 역률을 개선하는 원리를 간단히 설명하시오
유도성 부하를 사용하게 되면 역률이 저하한다. 이것을 개선하기 위하여 부하에 병렬로 콘덴서(용량성)을 설치하여 진상 전류를 흘려줌으로써 무효전력을 감소시켜 역률을 개선한다.
2) 부하 설비의 역률이 저하하는 경우 수용가가 볼 수 있는 손해를 두 가지만 쓰시오
ㄱ. 전력 손실 증가
ㄴ. 전기 요금 증가
7. 수전설비 계통도에 대한 다음 각 물음에 답하시오.
1) 통전 중에 있는 변류기 2차측 기기를 교체하고자 할 때 가장 먼저 취하여야 할 조치사항과 이유를 쓰시오
조치사항: 2차측을 단락시킨다.
이유: 변류기 2차측을 개방하면 1차 전류가 모두 여자전류가 되어 2차측에 과전압 유기 및 절연이 파괴되어 소손될 우려가 있다.
2) 인입 개폐기 DS로 많이 쓰는 기기의 명칭과 약호를 쓰시오
명칭: 자동 고장구분 개폐기
약호: ASS
3) CB를 진공차단기 (VCB)로 적용하고 몰드변압기를 사용하는 경우
ㄱ. 적용하여야 하는 보호기기: 서지 흡수기 (SA)
ㄴ. 보호기기 설치위치: 개폐서지를 발생하는 차단기 후단과 부하측 사이에 설치
8. 계전기의 동작에 필요한 지락 시의 영상전류 검출방법 3가지
1) ZCT
2) Y결선의 잔류회로 이용법
3) 3권선 CT 이용법(영상분로방식)
* 계통 별 영상전류 검출 방법
1) 비접지 계통: ZCT
2) 저항접지, 직접접지, 다중접지 게통:
ㄱ. Y결선의 잔류회로 이용법
ㄴ. 3권선 CT 이용법(영상분로방식)
ㄷ. 중성선 CT에 의한 검출방법
9. 다음은 진공차단기(VCB)와 2차 보호기기를 조합하여 사용할 시 반드시 서지흡수기를 설치하여야 하는 경우는 "적용", 설치하지 않아도 되는 경우는 "불필요"로 구분하여 빈칸에 쓰시오
[서지흡수기의 적용]
| 구분 | 차단기 종류 | 전압등급 | 2차 보호기기 | ||||
| 전동기 | 변압기 | 콘덴서 | |||||
| 유입식 | 몰드식 | 건식 | |||||
| 적용여부 | VCB | 6[kV] | |||||
답:
| 구분 | 차단기 종류 | 전압등급 | 2차 보호기기 | ||||
| 전동기 | 변압기 | 콘덴서 | |||||
| 유입식 | 몰드식 | 건식 | |||||
| 적용여부 | VCB | 6[kV] | 적용 | 불필요 | 적용 | 적용 | 불필요 |
* 서지 흡수기의 적용범위

10. 어느 수용가의 수 변전 설비도에 대한 다음 물음에 답하시오.
1) 22.9 kV 측의 DS의 정격 전압을 쓰시오
25.8 [kV]
2) MOF의 역할을 쓰시오
전력량을 적산하기 위하여 고전압과 대전류를 저전압과 소전류로 변성
3) PF의 역할을 쓰시오
단락 전류 및 고장 전류의 차단
4) 22.9 kV의 LA의 정격전압을 쓰시오.
18 kV
5) MOF에 연결되어 있는 DM의 명칭을 쓰시오.
최대 수요 전력량계
6) 하나의 전압계로 3상의 상전압이나 선간전압을 측정할 수 있는 스위치를 약호로 쓰시오.
VS
7) 하나의 전류계로 3상의 전류를 측정할 수 있는 스위치를 약호로 쓰시오.
AS
8) CB의 역할을 쓰시오.
단락 및 과부하, 지락 사고 등 사고 전류 차단 및 부하 전류를 개폐
9) 3.3 kV 측의 ZCT 역할을 쓰시오
지락 사고시 영상전류를 검출
10) ZCT에 연결되어 있는 GR의 역할을 쓰시오
지락사고시 영상변류기로부터 검출된 지락 전류를 입력으로 하여 정정치 이상이 되면 차단기로 동작신호를 출력.
11) SC의 역할을 쓰시오.
부하의 역률을 개선
12) 3.3 kV 측의 CB에서 600A는 무엇을 의미하는가?
정격전류
13) OS의 명칭을 쓰시오
유입 개폐기
11. 전력시설물 공사감리업무 수행지침에 의해 감리원은 설계도서 등에 대하여 공사계약문서 상호 간의 모순되는 사항, 현장 실정과의 부합여부 등 현장 시공을 주안으로 하여 해당 공사 시작 전에 검토하여야 한다. 이때 검토내용에 포함되어야 하는 사항을 3가지만 쓰시오.
1) 현장조건에 부합 여부
2) 시공의 실제가능 여부
3) 다른 사업 또는 다른 공정과의 상호부합 여부
12. 다음은 분전반 설치에 관한 내용이다. 다음 ( ) 안에 들어갈 내용을 답란에 쓰시오.
1. 공급 범위
1) 분전반은 각층마다 설치한다.
2) 분전반은 분기회로의 길이가 최대 ( A ) m 이하가 되도록 설계하며, 사무실 용도인 경우 하나의 분전반에 담당하는 면적은 일반적으로 1000 m^2 내외로 한다.
2. 예비회로
1) 1개 분전반 또는 개폐기함 내에 설치할 수 있는 과전류장치는 예비회로 (10~20 %)를 포함하여 42개 이하(주개폐기 제외)로 한다.
2) 회로가 많은 경우는 2개 분전반으로 분리하거나 ( B )으로 한다. 다만, 2극, 3극 배선용 차단기는 과전류장치 소자 수량의 합계로 계산한다.
3. 분전반의 설치높이
1) 일반적으로 분전반 상단을 기준하여 바닥 위 ( C ) m로 한다.
2) 크기가 작은 경우는 분전반의 중간을 기준으로 하여 바닥 위 ( D ) m로 하거나 하단을 기준하여 바닥 위 ( E ) m 정도로 한다.
4. 안전성 확보
1) 분전반과 분전반은 도어의 열림 반경 이상으로 이격한다.
2) 2개 이상의 전원이 하나의 분전반에 수용되는 경우에는 각각의 전원 사이에는 해당하는 분전반과 동일한 재질로 ( F )를 설치해야 한다.
A: 30, B: 자립형, C: 1.8, D: 1.4, E: 1.0, F: 격벽
13. 축전지에 대한 다음 각 물음에 답하시오.
1) 축전지의 과방전 및 방치상태, 가벼운 설페이션(Sulfation) 현상 등이 생겼을 때 기능 회복을 위해 실시하는 충전방식은?
회복 충전 방식
2) 연축전지의 공칭전압은 2.0[V/cell]이다. 알칼리축전지의 경우 공칭전압은 몇 [V/cell]인가?
1.2 [V/cell]
3) 부하의 최저 전압이 직류 115V이고, 축전지와 부하 사이의 전압강하가 5V일 때 직렬로 접속된 축전지의 수가 55개라면 축전지 한 조(cell) 당 최저 전압은 몇 V인가?
계산: 셀 당 공칭전압 V = (115 + 5) / 55 = 2.18 [V/cell]
4) 묽은 황산의 농도는 표준이고, 액면이 저하하여 극판이 노출되어 있는 연축전지에는 어떤 조치를 하여야 하는가?
증류수를 보충한다.
14. CT의 비오차에 대하여 다음 항목에 답하시오.
1) 비오차에 대해 설명하시오.
비오차는 공칭변류기와 측정변류비 사이에서 얻어진 백분율 오차로서, CT의 정밀도를 나타낸다.
2) 관계식을 쓰시오 (ε : 비오차(%), kn : 공칭변류비, K : 실제변류비)
15. 가공 전선로와 비교한 지중 전선로의 장점과 단점 각각 3가지씩
[장점]
1) 다수 회선을 같은 루트에 시설할 수 있다.
2) 지하 시설로 설비 보안 유지 용이하다.
3) 비바람이나 뇌 등 기상 조건에 영향을 받지 않는다.
[단점]
1) 같은 굵기의 도체로는 송전 용량이 작다.
2) 건설비가 아주 비싸다.
3) 고장점 발견이 어렵고 복구가 어렵다.
16. 다음은 변압기의 단락시험 회로이다. 괄호 안에 알맞은 답을 써넣으시오.

1) KS 투입 전 전압조정기의 핸들은 ( )에 위치하도록 한다.
0 [V]
2) 시험용 변압기의 2차측을 단락한 상태에서 슬라이닥스를 조정하여 1차측 단락 전류가 ( A ) 와 같에 흐를 때 1차측 단자 전압을 임피던스 전압이라 하며, 이 때 교류 전력게의 지시값을 ( B ) 라고 한다.
A: 1차 정격 전류, B: 임피던스 와트
3) & 임피던스 = 임피던스 전압 / ( ) x 100 %
1차 정격전압
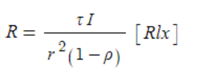
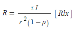
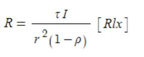
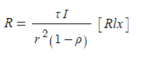
17. 반사율 ρ , 투과율 τ , 반지름 r인 완전 확산성 구형 글로브의 중심의 광도 I의 점광원을 켰을때, 광속발산도 R[rlx] 계산식은?


* 구형 글로브 광속발산도 계산식 및 유도 과정

18. 가스절연 개폐장치 (GIS)에 대한 다음 각 물음에 답하시오.
1) 가스절연 개폐장치(GIS)의 장점 4가지를 쓰시오
ㄱ. 소형화 할 수 있다.
ㄴ. 충전부가 완전히 밀폐되어 안정성이 높다.
ㄷ. 소음이 적고 환경과의 조화를 기할 수 있다.
ㄹ. 대기 중의 오염물의 영향을 받지 않으므로 신뢰도가 높다
2) 가스절연 개폐장치(GIS)에 사용되는 가스는 어떤 가스인가?
SF6 (육불화유황) 가스
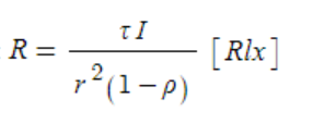
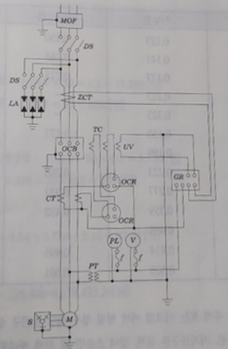
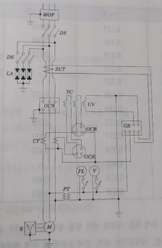
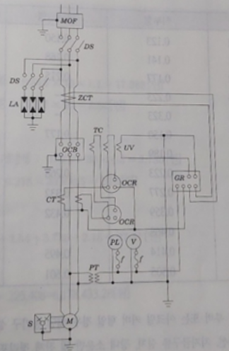
19. 그림은 고압 전동기 100[HP] 미만을 사용하는 고압 수전 설비 결선도이다. 이 그림을 보고 다음 각 물음에 답하시오.

1) 계전기용 변류기는 차단기의 전원측에 설치하는 것이 바람직하다. 무슨 이유에선가?
보호 범위를 넓히기 위하여
2) 본 도면에서 생략할 수 있는 부분은?
LA용 DS
3) 진상 콘덴서에 연결하는 방전코일의 목적은?
콘덴서에 축적된 잔류전하 방전
4) 도면에서 다음의 명칭은?
ㄱ. ZCT: 영상 변류기
ㄴ. TC: 트립코일
20. 피뢰기에 흐르는 정격방전전류는 변전소의 차폐유무와 그 지방의 연간 뇌우 발생 일수와 관계되나 모든 요소를 고려한 경우 일반적인 시설장소별 적용할 피뢰기의 공칭방전전류를 쓰시오.
| 공칭방전전류 | 설치장소 | 적용조건 |
| A | 변전소 | - 154kV 이상의 계통 - 66 kV 및 그 이하의 계통에서 Bank 용량이 3000 kVA를 초과하거나 특히 중요한 곳 - 장거리 송전케이블(배전선로 인출용 단거리케이블은 제외) 및 정전축전기 Bank를 개폐하는 곳 - 배전선로 인출측(배전 간선 인출용 장거리 케이블은 제외) |
| B | 변전소 | - 66 kV 및 그 이하의 계통에서 Bank 용량이 3000 kVA 이하인 곳 |
| C | 선로 | - 배전선로 |
A: 10000 [A], B: 5000 [A], C: 2500 [A]
21. 주어진 조건을 참조하여 다음 각 물음에 답하시오.
"[조건]:
차단기 명판에 BIL 150 kV, 정격 차단전류 20 kA, 차단시간 8 사이클, 솔레노이드형이라고 기재되어 있다. (단, BIL은 절연계급 20호 이상 비유효 접지계에서 계산하는 것으로 한다.)"
1) BIL이란 무엇인가?
기준 충격 절연 강도
2) 이 차단기의 정격전압은 몇 [kV]인가?
24 kV

3) 이 차단기의 정격 차단 용량은 몇 [MVA]인가?
831. 38 [MVA]

22. 차단기 정격사항에 대하여 주어진 표의 빈 칸에 쓰시오.
| 계통의 공칭전압[kV] | 22.9 | 154 | 345 |
| 정격전압[kV] | A | B | C |
| 정격차단시간(Cycle) | D | E | F |
A: 25.8, B: 170, C: 362, D: 5, E: 3, F: 3
* 차단기 정격사항
| 계통의 공칭전압[kV] | 22.9 | 154 | 345 | 765 |
| 정격전압[kV] | 25.8 | 170 | 362 | 800 |
| 정격차단시간(Cycle) | 5 | 3 | 3 | 2 |
다음 글
전기기사 실기 20년도 단답 문제 및 개념 정리
전기기사 실기 공부를 위해 교재 속 '전기기사 실기 20년도 단답 문제' 모음 및 개념 정리 글입니다. 전기기사 실기 시험에 조금이라도 도움이 되길 바랍니다.1. 소선의 직경이 3.2 [mm]인 37가닥의
favdays.com
전기기사 실기 18년도 단답 문제 및 개념 정리
전기기사 실기 공부를 위해 교재 속 '전기기사 실기 18년도 단답 문제' 모음 및 개념 정리 글입니다. 전기기사 실기 시험에 조금이라도 도움이 되길 바랍니다.1. 전력 퓨즈의 역할을 쓰시오부하
favdays.com
'전기기사 > 단답' 카테고리의 다른 글
| 전기기사 실기 21년도 단답 문제 및 개념 정리 (1) | 2025.07.02 |
|---|---|
| 전기기사 실기 20년도 단답 문제 및 개념 정리 (1) | 2025.07.01 |
| 전기기사 실기 18년도 단답 문제 및 개념 정리 (0) | 2025.06.29 |
| 전기기사 실기 17년도 단답 문제 및 개념 정리 (1) | 2025.06.24 |
| 전기기사 실기 16년도 단답 문제 및 개념 정리 (2) | 2025.06.20 |