안녕하세요. 오늘은 전기기사의 전력공학 파트 중 발전소 설비와 관련된 공식을 모아 하나의 글로 정리해보았습니다. 우선 발전소 설비 용량과 관련된 공식에 대해 다룬 뒤, 수력 발전소, 화력 발전소, 원자력 발전소에서 사용하는 공식 (예를 들어 수차, 유량, 열효율 등등)에 대해서 알아보겠습니다. 그럼 함께 알아볼까요?
🔹 1. 발전소 설비 용량 관련 공식
🔸 개념 설명
발전소의 설비 용량과 부하 특성은 효율적인 전력 공급을 위한 중요한 요소입니다.
1. 설비 이용률 (Utilization Factor, UF)

- 설치된 설비 용량 중 최대 수요 전력이 차지하는 비율
- 발전소가 설치된 설비 용량을 얼마나 효율적으로 사용하는지 나타냄
2. 부하율 (Load Factor, LF)

- 일정 기간 동안 평균적으로 소비되는 전력의 비율.
- 하루, 한 달, 혹은 1년 동안 평균적으로 얼마나 부하를 사용하는지를 나타냄.
3. 수용률 (Demand Factor, DF)

- 전체 부하 대비 최대 수요 전력이 차지하는 비율.
- 총 부하에 대해 실제로 얼마나 수요가 발생했는지를 의미.
4. 설비 이용률과 부하율의 관계

- 설비 이용률은 부하율과 수용률의 곱으로 표현할 수 있음.
🔸 관련 문제
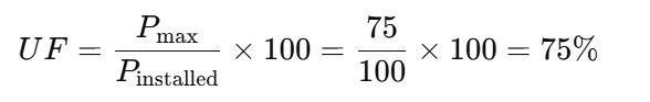
- 설비 용량이 100MW이고, 최대 수요 전력이 75MW일 때 설비 이용률을 구하시오.
- 하루 동안 평균 부하가 50MW, 최대 부하가 80MW라면 부하율을 구하시오.
- 총 설비 부하가 120MW, 최대 수요 전력이 90MW일 때 수용률을 구하시오.
🔹 2. 전력 및 발전소 경제성 관련 공식
🔸 개념 설명
발전소의 경제성을 평가하기 위해서는 전력 계산과 효율 분석이 필요합니다.
- 유효전력 (P): 실제로 유용한 전력.
- 피상전력 (S): 유효전력과 무효전력을 합한 값.
- 무효전력 (Q): 전력망 내에서 교환되는 전력.
- 발전소 효율: 연료 대비 발전 출력 비율.
🔸 공식
1. 전력(Power) 계산 공식
- 교류(AC) 전력 (V: 전압, I: 전류, cos: 역률)

- 3상 전력

- 피상전력

- 무효전력

2. 발전소 효율 (Plant Efficiency, η)

- 화력 발전소의 경우, 보일러 효율, 터빈 효율, 발전기 효율 등을 곱한 값이 발전소 전체 효율이 됨.
3. 발전 비용 관련 공식
- 단위 발전 비용 (C)

- 연료 소비량 (F) 과 발전량 (E)의 관계

- 발전 원가 분석 시, 고정비와 가변비를 나누어서 계산함.
🔸 관련 문제
- 3상 교류에서 전압 220V, 전류 30A, 역률 0.8일 때 유효전력을 구하시오.
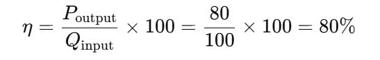
- 발전소 출력이 500MW, 입력 연료 에너지가 1250MW일 때 발전소 효율을 구하시오.
- 한 달 동안 총 발전량이 10만 kWh, 총 발전 비용이 500만 원이라면 단위 발전 비용을 구하시오.
🔹 3. 수력 발전소 관련 공식
🔸 개념 설명
수력 발전소는 물의 위치 에너지를 이용해 전력을 생산합니다.
- 유량 (QQ): 초당 흐르는 물의 양.
- 유효 낙차 (HH): 물이 떨어지는 높이.
- 발전 효율 (η\eta): 실제 발전량과 이론적 발전량의 비율.
1. 수력 발전 출력 (Hydroelectric Power Output)

2. 저수량과 발전 가능 전력

🔸 관련 문제
- 수력 발전소의 유량이 50m³/s, 유효 낙차가 100m, 발전 효율이 90%일 때 발전 출력을 구하시오.
- 10만 m³의 저수량이 있을 때, 유효 낙차 50m, 효율 85%일 때 총 발전 가능 에너지를 구하시오.
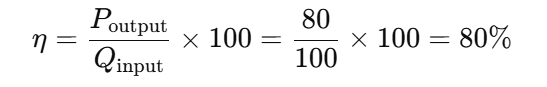
- 발전소 출력이 80MW이고, 입력 수력 에너지가 100MW일 때 발전소 효율을 구하시오.
🔹 4. 화력 발전소 관련 공식
🔸 개념 설명
화력 발전소는 연료를 연소시켜 전력을 생산합니다.
- 열효율: 연료의 총 에너지 대비 실제 전력 생산 비율.
- 급수가열기 효율: 보일러에 공급되는 물을 예열하는 장치의 효율.
1. 열효율 (Thermal Efficiency)

2. 급수가열기 효율

3. 발전 비용

🔸 관련 문제
- 입력 연료 에너지가 1500MW이고, 발전소 출력이 600MW일 때 발전소 열효율을 구하시오.
- 급수가열기로 200MW의 터빈 배기 증기를 이용하여 250MW의 급수 가열을 수행할 때 급수가열기 효율을 구하시오.
- 한 달 동안 총 발전량이 500,000kWh이고, 총 발전 비용이 2억 원일 때 단위 발전 비용을 구하시오.
🔹 5. 원자력 발전소 관련 공식
🔸 개념 설명
원자력 발전소는 핵분열을 이용해 에너지를 생산한다.
- 중성자 증배율 (kk): 연쇄반응의 지속 여부를 결정하는 요소.
- 열중성자 이용률 (ff): 연료에서 흡수된 중성자의 비율.
- 발전소 효율: 원자로의 총 에너지 대비 실제 전력 생산 비율.
1. 중성자 증배율 (Neutron Multiplication Factor, k)

- k>1: 연쇄반응 지속 (임계)
- k=1: 정상 운전 상태
- k<1: 반응 멈춤
2. 열중성자 이용률 (Thermal Utilization Factor, f)

3. 발전소 열효율

🔸 관련 문제
- 다음 세대 중성자 수가 105개, 이전 세대 중성자 수가 100개일 때 중성자 증배율을 구하시오.
- 연료에서 흡수된 중성자 수가 80개, 전체 흡수된 중성자 수가 100개일 때 열중성자 이용률을 구하시오.
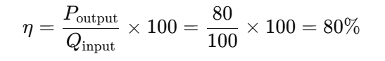
- 원자로에서 발생한 총 에너지가 2000MW이고, 발전소 출력이 800MW일 때 발전소 열효율을 구하시오.
관련 문제 정답
🔹 1. 발전소 설비 용량 관련 문제 풀이
1. 설비 용량이 100MW이고, 최대 수요 전력이 75MW일 때 설비 이용률을 구하시오.

2. 하루 동안 평균 부하가 50MW, 최대 부하가 80MW라면 부하율을 구하시오.

3. 총 설비 부하가 120MW, 최대 수요 전력이 90MW일 때 수용률을 구하시오.

🔹 2. 전력 및 발전소 경제성 문제 풀이
1. 3상 교류에서 전압 220V, 전류 30A, 역률 0.8일 때 유효전력을 구하시오.

2. 발전소 출력이 500MW, 입력 연료 에너지가 1250MW일 때 발전소 효율을 구하시오.

3. 한 달 동안 총 발전량이 10만 kWh, 총 발전 비용이 500만 원이라면 단위 발전 비용을 구하시오.

🔹 3. 수력 발전소 문제 풀이
1. 수력 발전소의 유량이 50m³/s, 유효 낙차가 100m, 발전 효율이 90%일 때 발전 출력을 구하시오.

2. 10만 m³의 저수량이 있을 때, 유효 낙차 50m, 효율 85%일 때 총 발전 가능 에너지를 구하시오.

3. 발전소 출력이 80MW이고, 입력 수력 에너지가 100MW일 때 발전소 효율을 구하시오.

🔹 4. 화력 발전소 문제 풀이
1. 입력 연료 에너지가 1500MW이고, 발전소 출력이 600MW일 때 발전소 열효율을 구하시오.

2. 급수가열기로 200MW의 터빈 배기 증기를 이용하여 250MW의 급수 가열을 수행할 때 급수가열기 효율을 구하시오.

3. 한 달 동안 총 발전량이 500,000kWh이고, 총 발전 비용이 2억 원일 때 단위 발전 비용을 구하시오.

🔹 5. 원자력 발전소 문제 풀이
1. 다음 세대 중성자 수가 105개, 이전 세대 중성자 수가 100개일 때 중성자 증배율을 구하시오.

2. 연료에서 흡수된 중성자 수가 80개, 전체 흡수된 중성자 수가 100개일 때 열중성자 이용률을 구하시오.

3. 원자로에서 발생한 총 에너지가 2000MW이고, 발전소 출력이 800MW일 때 발전소 열효율을 구하시오.

발전소 설비에 사용되는 공식에 대해서 자세하게 다루어 보았습니다. 수력 발전소, 화력 발전소, 원자력 발전소에 사용되는 공식과 문제 풀이가 전기기사 시험, ncs, 발전소 관련 문제를 풀이하는 데 도움이 되기를 바랍니다! 좋은 결과 얻으시길 응원하겠습니다 😊
'전기기사' 카테고리의 다른 글
| 임피던스와 어드미턴스란? 개념, 공식, 관계, 예제 문제 (0) | 2025.03.28 |
|---|---|
| 인덕터, 상호 인덕턴스란? 개념, 공식, 유도 전압 (0) | 2025.03.28 |
| 전선 종류? 전기기사에 나오는 전선 종류 비교 정리 (0) | 2025.03.20 |
| 코로나 방전이란? 발생 원리, 특징, 섬락과 차이점 (0) | 2025.03.19 |
| 섬락이란? 전력 설비에서 중요한 뇌섬락과 역섬락 (0) | 2025.03.19 |