이번 글에서는 물리학, 전력 공학, 회로 이론, 전기기기 등 전기기사에서 자주 나오는 용어인 임피던스와 어드미턴스에 대해서 알아보겠습니다. 특히 임피던스와 어드미턴스의 개념, 둘의 관계에 대해서 알아보며, 회로에서 어떤 의미를 가지는지에 대해 자세히 배워보겠습니다. 이후 관련 문제들을 풀어보며 임피던스와 어드미턴스에 대해 잘 이해하셨는지 검증해보시길 바랍니다!
임피던스(Impedance)와 어드미턴스(Admittance)
임피던스와 어드미턴스는 교류(AC) 회로에서 전류와 전압의 관계를 설명하는 중요한 개념입니다.

1. 임피던스(Impedance, Z)
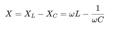
임피던스는 교류 회로에서 전류의 흐름을 방해하는 정도를 나타내는 물리량으로, 저항(Resistance, R)과 리액턴스(Reactance, X)를 함께 고려한 개념입니다.
- 단위: 옴(Ω)
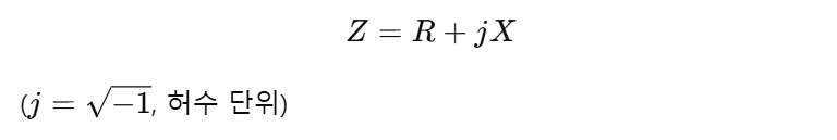
- 정의: 임피던스 = 저항 + 리액턴스 X

(1) 저항(Resistance, )
- 순수한 저항성 소자(예: 저항기)는 전류의 크기를 줄이지만 위상에는 영향을 주지 않음.
- 즉, 저항 성분은 위상 차이를 발생시키지 않고, 전류와 전압이 동일한 위상을 가짐.
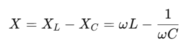
(2) 리액턴스(Reactance, )
- 리액턴스는 유도성(Inductive, XL)과 용량성(Capacitive, XC)으로 나뉜다.
- 리액턴스는 교류에서만 존재하며, 전압과 전류 사이의 위상차를 발생시킴.

따라서 전체 리액턴스는 다음과 같이 계산됩니다.

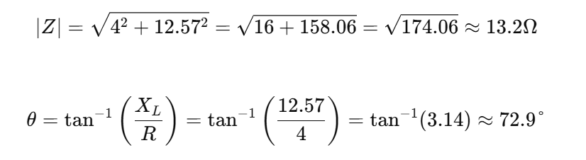
(3) 임피던스의 크기와 위상각
임피던스의 크기(∣Z∣)와 위상각(θ)은 다음과 같이 계산됩니다.
- 크기(Magnitude)

- 위상각(Phase Angle, θ)

2. 어드미턴스(Admittance, Y)
어드미턴스는 임피던스의 역수로, 전류가 흐르기 쉬운 정도를 나타냅니다.
- 단위: 지멘스(S)
- 정의:

(1) 컨덕턴스(Conductance, )
- 저항()의 역수
- 단위: 지멘스(S)
- 공식:

(2) 서셉턴스(Susceptance, )
- 리액턴스()의 역수에 부호를 반대로 한 값
- 공식:

- 유도성 리액턴스(XL)는 −jBL로 변환됨.
- 용량성 리액턴스(XC)는 +jBC로 변환됨.
(3) 어드미턴스의 크기와 위상각
- 크기(Magnitude)

- 위상각(Phase Angle, θ)

3. 임피던스와 어드미턴스의 관계
임피던스와 어드미턴스는 서로 역수 관계를 가집니다.

- 임피던스는 전류의 흐름을 방해하는 성질을 나타내고,
- 어드미턴스는 전류의 흐름을 용이하게 하는 성질을 나타낸다.
4. 관련 문제
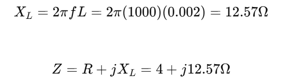
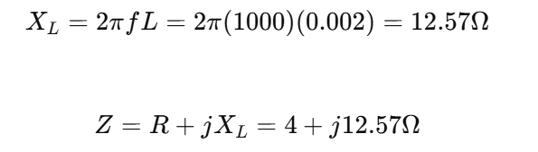
예제 1: RL 직렬 회로의 임피던스
어떤 RL 직렬 회로에서 저항 R=4Ω, 인덕터 L=2mH, 주파수 f=1kHz일 때 임피던스의 크기와 위상각을 구하라.
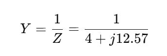
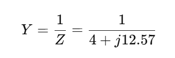
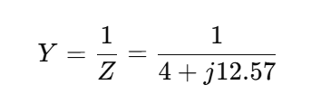
예제 2: RL 회로의 어드미턴스
위에서 구한 임피던스를 이용하여 어드미턴스의 크기와 위상각을 구하라.
5. 문제 정답
정답 1:


정답 2:



6. 결론
- 임피던스는 교류 회로에서 전류 흐름을 방해하는 정도를 나타내며, 복소수로 표현됨.
- 어드미턴스는 임피던스의 역수이며, 전류의 흐름을 쉽게 하는 정도를 나타냄.
- 교류 회로에서 전압과 전류의 위상 관계를 이해하는 데 중요하게 사용됨.
'전기기사' 카테고리의 다른 글
| 히스테리시스손이란? 원인, 특징, 전기기사 문제 (0) | 2025.04.14 |
|---|---|
| 진상 전류, 지상 전류란? 개념, 공식, 활용, 둘의 관계 (0) | 2025.03.28 |
| 인덕터, 상호 인덕턴스란? 개념, 공식, 유도 전압 (0) | 2025.03.28 |
| 전기기사 발전소 설비 관련 공식 모음 (0) | 2025.03.28 |
| 전선 종류? 전기기사에 나오는 전선 종류 비교 정리 (0) | 2025.03.20 |