전기기사 실기 공부를 위해 교재 속 '전기기사 실기 15년도 단답 문제' 모음 및 개념 정리 글입니다. 전기기사 실기 시험에 조금이라도 도움이 되길 바랍니다.
1. 지중선에 대한 장점과 단점을 가공선과 비교하여 각각 4가지씩 쓰시오
[장점]
1) 다수 회선을 같은 루트에 시설할 수 있다.
2) 지하 시설로 설비 보안 유지 용이
3) 비바람이나 뇌 등 기상 조건에 영향을 받지 않는다.
4) 유도장해 경감
[단점]
1) 같은 굵기의 도체로는 송전 용량이 작다.
2) 건설비가 아주 비싸다.
3) 고장점 발견이 어렵고 복구가 어렵다.
4) 설비 구성상 신규수용에 대한 탄력성 결여
2. 3상 농형 유도전동기의 제동방법인 역상제동에 대하여 설명하시오.
회전 중인 전동기의 1차 권선 3단자 중 임의의 2단자의 접속을 바꾸면 역방향의 토크가 발생되어 제동하는 방법으로 이 방법은 급속하게 정지시키고자 하는 경우에 사용된다.
* 유도 전동기의 전기적 제동법
1) 회생 제동: 유도 전동기를 유도 발전기로 동작시켜 그 발생 전력을 전원에 반환하면서 제동하는 방법
2) 발전 제동: 전동기를 전원으로부터 분리한 후 1차측에 직류전원을 공급하여 발전기로 동작시킨 후 발생된 전력을 저항에서 열로 소비시키는 방법
3) 역전(상) 제동: 회전중인 전동기의 1차 권선 3단자 중 임의의 2단자의 접속을 바꾸면 역방향의 토크가 발생되어 제동하는 방법으로 이 방법은 급속하게 정지시키고자 하는 경우에 사용되며, 플러깅 (plugging)이라고도 하다.
4) 단상 제동: 권선형 유도 전동기의 1차측을 단상교류로 여자하고 2차측에 적당한 크기의 저항을 넣으면 전동기의 회전과는 역방향의 토크가 발생되므로 제동된다.
3. 단선결선도에서 LA에 대한 다음 물음에 답하시오
1) 우리말 명칭
피뢰기
2) 기능과 역할에 대해 설명하시오
ㄱ. 이상 전압이 내습해서 피뢰기의 단자 전압이 어느 일정값 이상으로 올라가면 즉시 방전해서 전압 상승을 억제한다.
ㄴ. 이상 전압이 없어져서 단자 전압이 일정값 이하가 되면 즉시 방전을 정지해서 원래의 송전 상태로 되돌아가게 한다.
3) 성능조건 4가지
ㄱ. 상용 주파 방전 개시 전압이 높을 것
ㄴ. 충격 방전 개시 전압이 낮을 것
ㄷ. 속류 차단 능력이 클 것
ㄹ. 방전 내량이 크고 제한 전압이 낮을 것
4. 다음 조명에 대한 각 물음에 답하시오
1) 어느 광원의 광색이 어느 온도의 흑체의 광색과 같을 때 그 흑체의 온도를 이 광원의 무엇이라 하는지 쓰시오.
색온도
2) 빛의 분광 특성이 색의 보임에 미치는 효과를 말하며, 동일한 색을 가진 것이라도 조명하는 빛에 따라 다르게 보이는 특성을 무엇이라 하는지 쓰시오.
연색성
* 2) 물체는 분광분포가 다른 광원을 비추면 각각 다른 색으로 보인다. 이와 같이 조명에 의한 물체의 색깔을 결정하는 광원의 성질을 연색성이라 한다.
크세논등 > 백색 형광등 > 형광 수은등 > 나트륨 등 순으로 연색성이 우수하다.
5. 스폿 네트워크 (Spot Network) 수전방식에 대하여 설명하고 특징 4가지
1) 스폿 네트워크 방식이란?
배전용 변전소로부터 2회선 이상의 배전선으로 수전하는 방식으로 배전선 1회선에 사고가 발생한 경우일지라도 다른 건전한 회선으로부터 자동적으로 수전 할 수 있는 무정전 방식으로 신뢰도가 매우 높은 방식이다.
2) 특징
1) 무정전 전력공급이 가능하다.
2) 공급신뢰도가 높다.
3) 전압 변동률이 낮다.
4) 부하증가에 대한 적응성이 좋다.
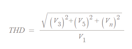
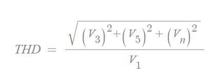
6. THD(Total harmonics distortion)의 정의와 계산식을 쓰시오. 단, 배전선의 기본파 전압 실효값은 V1[V], 고조파 전압의 실효값은 V3[V], V5[V], Vn[V]이다.
정의: 기본파 주파수 성분의 실효값에 대한 모든 고조파 성분에 대한 실효값 총합의 비율
계산식:

7. 정삼각형 배열의 3상 가공선로에서 전선의 굵기, 선간거리, 표고, 기온에 의한 코로나 파괴 임계전압이 받는 영향을 쓰시오
| 구분 | 임계전압이 받는 영향 |
| 전선의 굵기 | 전선이 굵을수록 임계전압이 상승한다 |
| 선간거리 | 선간거리가 클수록 임계전압이 상승한다. |
| 표고[m] | 표고가 높으면 기압이 낮아져, 임계전압은 낮아진다 |
| 기온[ ˚C] | 기온이 높을수록 임계전압은 낮아진다 |
* 코로나 임계전압

8. 변압기 절연내력 시험전압에 대한 A ~ H 의 알맞은 내용을 빈칸에 쓰시오

A: 1.5, B: 0.92, C: 1.25, D: 1.25, E: 1.1, F: 0.72, G: 0.64, H: 1.1
9. 조명 용어 중 감광보상율이란 무엇을 의미하는가?
조명설계를 할 때 점등 중 광속의 감소를 고려하여 소요광속에 여유를 두어야 하며, 그 정도를 감광보상률이라 한다.
10. 변류기(CT)에 관한 다음 각 물음에 답하시오.
1) Y-△로 결선한 주변압기의 보호로 비율차동계전기를 사용한다면 CT의 결선은 어떻게 하여야 하는지 설명하시오.
주변압기의 1차측에 사용되는 변류기는 △결선, 2차측에 사용되는 변류기는 Y결선을 한다. (변압기 결선과 반대로 결선한다.)
2) 통전 중에 있는 변류기의 2차측 기기를 교체하고자 할 때 가장 먼저 취하여야 할 사항을 설명하시오.
2차측을 단락시킨다.
* 추가 해설
1) 변압기 1차측 전류와 2차측 전류간의 위상차를 없애기 위해 변류기 결선은 변압기 결선과 반대로 하여야 한다.
2) CT의 사용 중 2차측을 개방하면 1차측 부하 전류가 모두 여자 전류가 되어 2차측에 고전압이 유기되어 절연파괴의 위험을 초래하게 되므로, 먼저 2차측을 단락시킨 후 기기를 교체하여야 한다.
11. 다음 물음에 답하시오.
1) 정류기가 축전지의 충전에만 사용되지 않고 평상시 다른 직류부하의 전원으로 병행하여 사용되는 충전 방식의 명칭을 쓰시오.
부동 충전 방식
2) 축전지의 각 전해조에 일어나는 전위차를 보정하기 위해 1~3개월마다 1회 정전압으로 10~12시간 충전하는 충전방식의 명칭을 쓰시오.
균등 충전 방식
* 충전방식 종류
1) 보통 충전: 필요할 때마다 표준 시간율로 소정의 충전을 하는 방식
2) 세류 충전: 출전지의 자기 방전을 보충하기 위하여 부하를 off 한 상태에서 미소 전류로 항상 충전하는 방식
3) 균등 충전: 각 전해조에서 일어나는 전위차를 보정하기 위하여 1~3개월마다 1회, 정전압 충전하여 각 전해조의 용량을 균일화하기 위하여 행하는 충전방식
4) 부동 충전: 축전지의 자기 방전을 보충함과 동시에 상용 부하에 대한 전력공급은 충전기가 부담하도록 하되, 충전기가 부담하기 어려운 일시적인 대전류 부하는 축전지가 부담하도록 하는 방식

5) 급속 충전: 짧은 시간에 보통 충전 전류의 2~3배의 전류로 충전하는 방식
12. 지중 케이블의 고장점 탐지법 3가지와 각각의 사용 용도를 쓰시오.
| 고장점 탐지법 | 사용 용도 |
| 머레이 루프법 | 1선 지락 사고 및 선간 단락 사고시 고장점 측정 |
| 펄스 측정법 | 3선 단락 및 지락 사고시 고장점 측정 |
| 정전 브리지법 | 단선 사고시 고장점 측정 |
13. 발전소 및 변전소에 사용되는 다음 각 모선보호방식에 대하여 설명하시오.
1) 전류 차동 계전 방식: 각 모선에 설치된 CT의 2차 회로를 차동 접속하고 거기에 과전류 계전기를 설치한 것으로서, 모선 내 고장에서는 모선에 유입하는 전류의 총계와 유출하는 전류의 총계가 서로 다르다는 것을 이용해서 고장 검출을 하는 방식이다.
2) 전압 차동 계전 방식: 각 모선에 설치된 CT의 2차 회로를 차동 접속하고 거기에 임피던스가 큰 전압계전기를 설치한 것으로서, 모선 내 고장에서는 계전기에 큰 전압이 인가되어서 동작하는 방식이다.
3) 위상 비교 계전 방식: 모선에 접속된 각 회선의 전류 위상을 비교함으로써 모선 내 고장인지 외부 고장인지를 판별하는 방식
4) 방향 비교 계전 방식: 모선에 접속된 각 회선에 전력방향계전기 또는 거리방향 계전기를 설치하여 모선으로부터 유출하는 고장 전류가 없는데 어느 회선으로부터 모선 방향으로 고장 전류의 유입이 있는지 파악하여 모선 내 고장인지 외부 고장인지를 판별하는 방식
14. 3상 유도전동기 Y-△ 기동방식의 다음 각 물음에 답하시오.
1) Y-△ 기동시와 전전압 기동시의 기동전류를 수치를 제시하면서 비교 설명하시오.
Y-△ 기동 전류는 전전압 기동 전류의 1/3 배이다.
2) 3상 유도전동기를 Y-△로 기동하여 운전하기 위한 제어회로의 동작사항을 설명하시오.
MC1과 MC3을 단락시켜 Y결선으로 기동한 후 타이머 설정 시간이 지나면 MC3는 개방, MC1과 MC2가 단락되어 △결선으로 운전한다. 이 때 Y와 △는 동시투입이 되어서는 안된다. (인터록)

15. 다음 물음에 답하시오.
1) MCCB의 명칭을 쓰시오.
배선용 차단기
2) EOCR의 명칭과 사용목적을 쓰시오
명칭: 전자식 과부하 계전기
사용 목적: 전동기에 과전류가 흐르면 동작하여 MC를 트립시켜 전동기를 보호한다.
*EOCR(Electronic Overload Relays): 전자식 과부하계전기
EOCR(Electronic Overcurrent Relays): 전자식 과전류계전기
16. 접지공사의 목적 3가지
1) 기기 보호
2) 감전 사고 방지
3) 보호 계전기의 확실한 동작 보호
* 추가 해설
1) 지락 및 단락 전류 등 고장 전류로부터 기기 보호
2) 배전 변전소 운전원의 감전사고 및 설비의 화재사고를 방지
3) 보호 계전기의 확실한 동작 확보 및 전위 상승 억제
17. 역률 과보상시 발생하는 형상 3가지
1) 역률의 저하 및 손실의 증가
2) 단자전압 상승
3) 계전기 오동작
18. 사용 중인 UPS의 2차 측에 단락사고 등이 발생했을 경우 UPS와 고장 회로를 분리하는 방식 3가지
1) 배선용 차단기에 의한 방식
2) 속단퓨즈에 의한 방식
3) 반도체차단기에 의한 방식
19. 3상 교류 전동기는 고장이 발생하면 여러 문제가 발생하므로, 전동기를 보호하기 위해 과부하 보호 이외에 여러 가지 보호장치를 하여야 한다. 3상 교류 전동기 보호를 위한 종류 5가지만 쓰시오. (단, 과부하 보호는 제외한다.)
1) 단락 보호
2) 지락 보호
3) 불평형 보호
4) 저전압 보호
5) 회전자 구속 보호
20. 배전용 변압기의 고압측(1차측)에 여러 개의 탭을 설치하는 이유는?
변압기의 저압측(2차측)의 전압을 조정하기 위함이다.
* 전원 전압의 변동이나 부하에 의해 변압기 2차측에 전압변동이 생긴다. 이러한 전압변동을 보상하려면 변압기의 권수비(변압비)를 바꾸어야 하는데, 이를 위해 변압기 1차측에 몇 개의 탭을 설치한다.
21. 동기발전기를 병렬로 접속하여 운전할 때 발생하는 횡류의 종류 3가지를 쓰고, 각각의 작용에 대하여 설명하시오.
1) 무효 횡류: 양 발전기의 역률을 변화시킨다.
2) 유효 횡류: 양 발전기의 유효 전력의 분담을 변화시킨다.
3) 고조파 무효 횡류: 전기자 권선의 저항손을 증가시킨다.
22. 전기 방폭설비의 의미를 설명하시오.
위험한 가스 혹은 분진 등으로 인한 폭발이 발생할 우려가 있는 곳에 설치하는 전기설비
23. 과전류계전기와 수전용 차단기 연동시험 시 시험전류를 가하기 전에 준비하여야 하는 기기 3가지?
1) 수저항기
2) 전류계
3) 사이클카운터(계전기 시험장치)
다음 글
전기기사 실기 16년도 단답 문제 및 개념 정리
전기기사 실기 공부를 위해 교재 속 '전기기사 실기 16년도 단답 문제' 모음 및 개념 정리 글입니다. 전기기사 실기 시험에 조금이라도 도움이 되길 바랍니다.1. 피뢰기에 대한 다음 각 물음에 답
favdays.com
전기기사 실기 14년도 단답 문제 및 개념 정리
전기기사 실기 공부를 위해 교재 속 '전기기사 실기 14년도 단답 문제' 모음 및 개념 정리 글입니다. 전기기사 실기 시험에 조금이라도 도움이 되길 바랍니다.1. 예비전원으로 사용되는 축전지 설
favdays.com
'전기기사 > 단답' 카테고리의 다른 글
| 전기기사 실기 17년도 단답 문제 및 개념 정리 (1) | 2025.06.24 |
|---|---|
| 전기기사 실기 16년도 단답 문제 및 개념 정리 (2) | 2025.06.20 |
| 전기기사 실기 14년도 단답 문제 및 개념 정리 (0) | 2025.06.20 |
| 전기기사 실기 13년도 단답 문제 및 개념 정리 (2) | 2025.06.18 |
| 전기기사 실기 12년도 단답 문제 및 개념 정리 (0) | 2025.06.18 |