전기기사 실기 공부를 위해 교재 속 '전기기사 실기 13년도 단답 문제' 모음 및 개념 정리 글입니다. 전기기사 실기 시험에 조금이라도 도움이 되길 바랍니다.
1. 옥외용 변전소내의 변압기 사고라고 생각할 수 있는 사고의 종류 5가지
1) 권선의 상간단락 및 층간단락
2) 권선과 철심간의 절연파괴에 의한 사고
3) 고저압 권선의 혼촉
4) 권선의 단선
5) Bushing Lead선의 절연파괴
(추가)
6) 지속적 과부하 등에 의한 과열 사고
2. 전동기에 개별로 콘덴서를 설치할 경우 발생할 수 있는 자기여자현상의 발생 이유와 현상을 설명하시오.
1) 이유:
콘덴서 전류가 전동기의 무부하 전류보다 큰 경우 발생
2) 현상:
전동기 단자전압이 일시적으로 정격 전압을 초과하는 현상
* 유도 전동기는 전원이 차단된 직후에라도 기계적 관성에 의해 계속 회전하며, 개별로 설치된 콘덴서를 부하로 하는 유도 발전기로 작동하게 된다. 이 때 진상전류에 의해 일시적으로 전동기의 단자전압이 상승하게 되는데 이것을 자기여자현상이라고 한다.
3. 3상 전원에 단상 전열기 2대를 연결하여 사용할 경우 3상 평형전류가 흐르는 변압기의 결선방법이 있다. 3상을 2상으로 변환하는 이 결선방법의 명칭과 결선도를 그리시오. (단, 단상변압기 2대를 사용한다.)
스코트 결선

4. 그림은 축전지 충전회로이다. 다음 물음에 답하시오.

1) 충전방식은?
부동충전방식
2) 이 방식의 역할(특징)을 쓰시오
축전지의 자기 방전을 보충함과 동시에 상용 부하에 대한 전력 공급은 충전기가 부담하도록 하되, 충전기가 부담하기 어려운 일시적인 대전류 부하는 축전지로 하여금 부담하도록 하는 방식
5. 그림과 같이 부하를 운전 중인 상태에서 변류기의 2차측의 전류계를 교체할 때에는 어떠한 순서로 작업을 하여야 하는지 쓰시오. (단, K와 L은 변류기 1차 단자, k와 l은 변류기 2차 단자, a와 b는 전류계 단자이다.)

1) 변류기 2차 단자 k와 l을 단락
2) 전류계 단자 a와 b를 분리하여 전류계를 교체
3) 단락하였던 변류기 2차 단자 k와 l을 개방
* 변류기 2차측을 개방하면 1차 전류가 모두 여자 전류가 되어 2차측에 과전압 유기 및 절연이 파괴되어 소손될 우려가 있으므로 CT 2차측 기기를 교체하고자 하는 경우는 반드시 CT 2차측을 단락시켜야 한다.
6. 전력계통의 발전기, 변압기 등의 증설이나 송전선의 신·증설로 인하여 단락 ·지락전류가 증가하여 송변전 기기에의 손상이 증대되고, 부근에 있는 통신선의 유도장채가 증가하는 등의 문제점이 예상되므로, 단락용량의 경감대책을 세워야 한다. 이 대책을 3가지만 쓰시오.
1) 고 임피던스 기기를 채택한다.
2) 모선계통을 분리 운용한다.
3) 한류 리액터를 설치한다.
(추가)
4) 계통전압의 격상
5) 직류 연계
6) 고장 전류 제한기 사용
7. 다음 개폐기의 종류를 나열한 것이다. 기기의 특징에 알맞은 명칭을 빈칸에 쓰시오.
| 명칭 | 특징 |
| A | - 전로의 접속을 바꾸거나 끊는 목적으로 사용 - 전류의 차단능력은 없음 - 무전류 상태에서 전로 개폐 - 변압기, 차단기 등의 보수점검을 위한 회로 분리용 및 전력계통 변환을 위한 회로분리용으로 사용 |
| B | - 평상시 부하전류의 개폐는 가능하나 이상 시 (과부하, 단락) 보호기능은 없음 - 개폐 빈도가 적은 부하의 개폐용 스위치로 사용 - 전력 Fuse와 사용시 결상방지 목적으로 사용 |
| C | - 평상시 부하전류 혹은 과부하 전류까지 안전하게 개폐 - 부하의 개폐, 제어가 주목적이고, 개폐 빈도가 많음 - 부하의 조작, 제어용 스위치로 이용 - 전력 Fuse와 사용시 결상방지 목적으로 사용 |
| D | - 평상시 전류 및 사고 시 대전류를 지장 없이 개폐 - 회로보호가 주목적이며 기구, 제어회로가 Tripping 우선으로 되어 있음 - 주회로 보호용 사용 |
| E | - 일정치 이상의 과부하전류에서 단락전류까지 대전류 차단 - 전로의 개폐 능력은 없다. - 고압개폐기와 조합하여 사용 |
A: 단로기 B: 부하개폐기 C: 전자접촉기 D: 차단기 E: 전력퓨즈
8. 아몰퍼스변압기의 장점 3가지와 단점 3가지
[장점]
1) 철손과 여자 전류가 매우 적다.
2) 전기저항이 높다.
3) 결정 자기이방성이 없다.
(추가)
4) 판 두께가 매우 얇다.
5) 자벽 이동을 방지하는 구조상의 결함이 없다.
[단점]
1) 포화자속 밀도가 낮다.
2) 점적률이 나쁘다.
3) 압축 응력이 가해지면 특성이 저하된다.
4) 자장 풀림이 필요하다.
9. 다음은 컴퓨터 등의 중요한 부하에 대한 무정전 전원공급을 위한 그림이다. (가) ~ (마)에 적당한 전기 시설물의 명칭을 쓰시오.

(가) 자동 전압 조정기 (AVR)
(나) 전환용 개폐기
(다) 컨버터 (정류기)
(라) 인버터
(마) 축전지
10. 특고압 및 고압수전에서 대용량의 단상전기로 등의 사용으로 설비 부하평형의 제한에 따르기가 어려울 경우는 전기사업자와 협의하여 다음 각 호에 의하여 시설하는 것을 원칙으로 한다. 빈칸에 들어갈 말은?
1) 단상 부하 1개의 경우는 ( A ) 접속에 의할 것. 다만, 300 [kVA]를 초과하지 말 것
2) 단상 부하 2개의 경우는 ( B ) 접속에 의할 것. 다만, 1개의 용량이 200[kVA] 이하인 경우는 부득이한 경우에 한하여 보통의 변압기 2대를 사용하여 별개의 선간에 부하를 접속할 수 있다.
3) 단상 부하 3개 이상인 경우는 가급적 선로전류가 ( C )이 되도록 각 선간에 부하를 접속할 것
A: 2차 역V , B: 스코트, C: 평형
11. 다음 물음에 답하시오
1) 역률을 개선하기 위한 전력용 콘덴서 용량은 최대 무슨 전력 이하로 설정하여야 하는지 쓰시오.
부하의 지상 무효전력
2) 고조파를 제거하기 위해 콘덴서에 무엇을 설치해야 하는지 쓰시오.
직렬 리액터
3) 역률 개선시 나타나는 효과 3가지를 쓰시오.
ㄱ. 전력손실의 경감
ㄴ. 전압 강하의 감소
ㄷ. 설비 용량의 여유 증가
12. 아래의 그림에 계통접지와 기기접지의 접지선을 연결하고 그 기능을 설명하시오. (접지극과 연결된 부위를 선으로 연결하시오.)

1) 계통 접지 결선 및 기능: 고저압 혼촉 시 저압 측 전위상승 억제

2) 기기접지 결선 및 기능: 감전예방 및 화재예방

13. 다음 심벌의 명칭을 쓰시오.
1) 금속 덕트

2) 라이팅 덕트

3) 플로어 덕트

14. 다음은 전압등급 3[kV]인 SA의 시설 적용을 나타낸 표이다. 빈 칸에 적용 또는 불필요를 구분하여 쓰시오.
| 차단기 종류 \ 2차 보호 기기 | 전동기 | 변압기 | 콘덴서 | ||
| 유입식 | 몰드식 | 건식 | |||
| VCB | A | B | C | D | E |
A: 적용, B: 불필요, C: 적용, D: 적용, E: 불필요
* 서지흡수기의 적용

서지흡수기(SA)는 VCB(진공차단기)를 사용할 때 발생하는 개폐서지를 흡수하는 역할을 한다.
상기 표에서와 같이 VCB를 사용시 반드시 서지흡수기를 설치하여야 하나 VCB와 유입변압기를 사용시는 설치하지 않아도 된다.
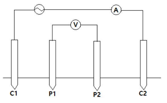
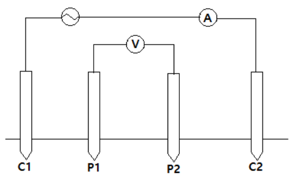
15. Wenner의 4전극법에 대한 공식을 쓰고, 원리도를 그려 설명하시오.

대지저항률 공식:

(단, a : 전극 간격[m], R: 접지저항[옴])
4개의 측정 전극 (C1, P1, P2, C2)을 지표면에 일직선 상, 일정한 간격으로 매설하고, 측정 장비 내에서 저주파 전류를 C1, C2 전극을 통해 대지에 흘려 보낸 후 P1, P2 사이의 전압을 측정하여 대지저항률을 구하는 방법이다.
16. 전력용 콘덴서의 부속설비인 방전 코일과 직렬 리액터의 사용 목적은 무엇인가?
1) 방전 코일: 콘덴서에 축적된 잔류 전하의 방전
2) 직렬 리액터: 제5고조파를 제거하여 파형을 개선
* 콘덴서 회로의 부속 기기
1) 방전 코일 (DC: Discharge Coil)
- 콘덴서에 축적된 잔류 전하를 방전하여 감전 사고 방지
- 선로에 재투입시 콘덴서에 걸리는 과전압 방지
2) 직렬 리액터 (SR: Series Reactor)
- 제5고조파로부터 전력용 콘덴서 보호 및 파형 개선의 목적으로 사용된다. 직렬 리액터의 용량은 다음과 같다.
● 이론적: 콘덴서 용량 x 4[%]
● 실제상: 콘덴서 용량 x 6[%]
17. 지중 전선로의 시설에 관한 다음 각 물음에 답하시오.
1) 지중 전선로는 어떤 방식에 의하여 시설하여야 하는지 3가지만 쓰시오
직접 매설식, 관로식, 암거식
2) 특고압용 지중전선에 사용하는 케이블의 종류 2가지
알루미늄피케이블, 가교 폴리에틸렌 절연비닐시스케이블(CV)
18. UPS 장치 시스템의 중심부분을 구성하는 CVCF의 기본 회로를 보고 다음 각 물음에 답하시오.

1) UPS 장치는 어떤 장치인가?
무정전 전원 공급 장치
2) CVCF는 무엇을 뜻하는가?
정전압 정주파수 공급 장치
3) 도면의 (1), (2)에 해당하는 것은 무엇인가?
(1) 정류기 (컨버터)
(2) 인버터
19. 접지저항의 저감법 중 물리적 방법 4가지와 대지저항률을 낮추기 위한 저감재의 구비조건 4가지를 쓰시오.
1) 물리적인 저감법
ㄱ. 접지극의 길이를 길게 한다.
ㄴ. 접지극의 병렬 접속
ㄷ. 접지봉의 매설깊이를 깊게 한다.
ㄹ. 접지극과 대지와의 접촉저항을 향상시키기 위하여 심타공법으로 시공한다.
2) 저감재의 구비조건
ㄱ. 환경에 무해하며, 안전할 것
ㄴ. 전기적으로 양도체이고, 전극을 부식시키지 않을 것
ㄷ. 지속성이 있을 것
ㄹ. 작업성이 좋을 것
* 화학적 저감방법
1) 접지극 주변의 토양의 개량 (염, 유산, 암모니아, 탄산소다, 카본분말, 밴드나이트 등 화공약품을 사용하는데 따른 환경오염 문제로 사용이 제한되고 있다.)
2) 접지저항 저감재 사용(주로 아스론 사용)
20. 단상 변압기의 병렬 운전 조건 4가지를 쓰고, 이들 각각에 대하여 조건이 맞지 않을 경우에 어떤 현상이 나타나는지 쓰시오.
1) 조건: 극성이 일치할 것
현상: 큰 순환 전류가 흘러 권선이 소손
2) 조건: 정격 전압(권수비)이 같을 것
현상: 순환 전류가 흘러 권선이 가열
3) 조건: %임피던스 강하(임피던스 전압)가 같을 것
현상: 부하의 분담이 용량의 비가 되지 않아 부하의 분담이 균형을 이룰 수 없다.
4) 조건: 내부 저항과 누설 리액턴스의 비(즉 ra/xa = rb/xb)가 같을 것
현상: 각 변압기의 전류간에 위상차가 생겨 동손이 증가
다음 글
전기기사 실기 14년도 단답 문제 및 개념 정리
전기기사 실기 공부를 위해 교재 속 '전기기사 실기 14년도 단답 문제' 모음 및 개념 정리 글입니다. 전기기사 실기 시험에 조금이라도 도움이 되길 바랍니다.1. 예비전원으로 사용되는 축전지 설
favdays.com
전기기사 실기 12년도 단답 문제 및 개념 정리
전기기사 실기 공부를 위해 교재 속 '전기기사 실기 12년도 단답 문제' 모음 및 개념 정리 글입니다. 전기기사 실기 시험에 조금이라도 도움이 되길 바랍니다.1. 역률을 개선하면 전기 요금의 저
favdays.com
'전기기사 > 단답' 카테고리의 다른 글
| 전기기사 실기 15년도 단답 문제 및 개념 정리 (0) | 2025.06.20 |
|---|---|
| 전기기사 실기 14년도 단답 문제 및 개념 정리 (0) | 2025.06.20 |
| 전기기사 실기 12년도 단답 문제 및 개념 정리 (0) | 2025.06.18 |
| 전기기사 실기 11년도 단답 문제 및 개념 정리 (0) | 2025.06.13 |
| 전기기사 실기 10년도 단답 문제 및 개념 정리 (6) | 2025.06.13 |