
이번 글에서는 전기기사 필기 문제에서 자주 볼 수 있는 '히스테리시스손'의 개념, 원인, 특징 그리고 관련 전기기사 문제에 대해서 다뤄보았습니다. 문제를 보면 히스테리시스손이 뭐지? 하고 그냥 넘어가는 경우가 있는데 이번 글을 통해 변압기 손실 중에서 '히스테리시스 손'에 대해 조금이라도 관련 지식을 쌓는 데 도움이 되고자 작성해보았습니다. 그럼 함께 알아볼까요?
✅ 히스테리시스손이란?
철심이 교류 전류에 의해 자화되었다가 탈자되는 과정에서 자화 방향이 바뀔 때 에너지 손실이 발생합니다. 이 손실은 주로 자기 이력 곡선 (Hysteresis Loop)의 면적에 해당됩니다. 철심 내부에서 도메인(자구)들이 방향을 바꾸는 데 에너지가 들기 때문입니다. 최종적으로는 열로 방출되기 때문에 기기 발열의 원인이 되고, 효율 저하를 가져옵니다.
여기서 '자화'란 자기장 안의 물체가 자기를 띠는 현상, '탈자'란 자성을 잃는 것을 의미합니다.
✅ 히스테리시스손의 원인
철심을 구성하는 자성체 내부의 자구(자기 영억)가 자화와 탈자 과정에서 반복적으로 재배열됩니다. 이 자구들이 재배열 될 때는 마찰이나 저항처럼 에너지가 필요하고, 결론은 -> 손실로 이어집니다.
교류에서는 이 과정이 계속 반복되므로 손실이 누적됩니다. (그럼 효율이 많이 저하되겠지요?)

위 히스테리시스 곡선 = B-H 곡선은 전혀 자화되지 않는 자성재료에 자기장을 가했을 때 자기장H과 자속밀도B의 관계를 나타내는 곡선입니다. 위 곡선을 하나하나 분석해보면,
1. 점선 -> 점 a: 처음 자성재료에 자기장을 가해서 더이상 자속밀도가 증가하지 않는 '자기 포화 상태'로 변화됨
2. 점 a -> 점 b: 자기장의 세기를 낮춰 자기장은 0이 되지만, 자속밀도는 0이 되지 않음 (자속밀도가 0이 아니다 -> 잔류자기가 존재한다)
3. 점 b -> 점 c: 자기장의 방향을 반대로 바꾸어 자속밀도가 0인 상태로 만들 수 있음 (자속밀도를 0으로 만들기 위해 추가로 가해진 자기장의 힘 = 보자력), (불필요한 잔류자기를 없애기 위해 추가적인 자기장의 힘 = 손실)
4. 점 c -> 점 d: 반대방향의 자기장이 계속 가해지면서 다시 자기 포화 상태로 변화
5. 점 d -> 점 e: 자기장의 세기를 낮춰 자기장이 0이 되지만, 자속밀도는 0이 되지 않음
6. 점 e -> 점 f: 자기장의 방향을 반대로 바꾸어 자속밀도가 0인 상태로 만들 수 있음
7. 이후 계속 반복함
즉, 잔류자기를 없애기 위해 추가로 필요한 자기장에 의해서 손실이 발생하게 됩니다.
이때, 잔류자기에 따라 생기는 히스테리시스 곡선의 면적 = 히스테리시스 손실을 의미합니다.
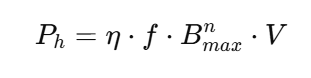
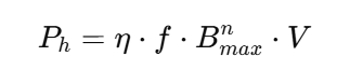
✅ 히스테리시스손 계산 공식

- : 히스테리시스 손실 (W)
- η: 재료 상수 (히스테리시스 계수, 철심 재료에 따라 다름)
- : 주파수 (Hz)
- : 최대 자속 밀도 (T)
- : 실험적으로 결정되는 지수 (보통 1.6~2.5)
- : 철심의 부피 (m³)
✅ 히스테리시스손의 특징
- 주파수에 비례: 주파수가 높아질수록 손실도 커집니다.
- 자속 밀도에 지수적으로 비례: 의 증가에 민감하게 반응합니다.
- 재료의 영향을 많이 받음: 히스테리시스손을 줄이기 위해 규소강판, 아몰퍼스 금속 등을 사용합니다.
- 히스테리시스손은 시간에 따라 변하지 않으며, 자속 밀도와 주파수만 고정되면 항상 일정합니다.
✅ 히스테리시스 손실을 줄이기 위한 방법
- 자기 이력 특성이 좁은 재료 사용 (즉, 이력 곡선 면적이 작은 재료)
- 규소강판(Silicon Steel) 사용 → 히스테리시스손 감소
- 절연 처리된 얇은 철심 판을 적층 → 와류손과 함께 감소 가능
- 자속 밀도와 주파수의 최적화
다음으로는 전기기사 필기시험에 자주 나오는 히스테리시스손 관련 기출문제 3문제를 준비했습니다. 개념 이해와 공식 적용 능력을 체크할 수 있도록 문제를 구성했습니다. 한번 풀어볼까요?
🔹 문제 1
히스테리시스 손실에 대한 설명으로 옳은 것은?
A. 주파수와 자속밀도에 무관하다.
B. 철심의 비저항이 클수록 커진다.
C. 철심 재료의 이력곡선 면적에 비례한다.
D. 자속밀도와 주파수의 제곱에 비례한다.
🔹 문제 2
자기재료의 히스테리시스손은 다음 중 무엇과 관계가 가장 깊은가?
A. 비투자율
B. 비저항
C. 이력곡선 면적
D. 전류의 평균값
🔹 문제 3
히스테리시스손의 계산식으로 옳은 것은?

✅ 문제 정답
- C
- C
- B
이처럼 히스테리시스손은 자성체의 이력곡선 특성과 깊은 관련이 있으며, 자속밀도와 주파수에 민감하게 반응하는 손실입니다. 시험에서는 개념뿐 아니라 관련 수식과 특징을 정확히 기억하는 것이 중요해요. 핵심만 잘 정리해두면 계산 문제와 객관식 모두 어렵지 않게 풀 수 있을 것입니다. 모두 좋은 결과 받으시길 바라고, 다음 글에서 봬요 :)
'전기기사' 카테고리의 다른 글
| 가공지선과 매설지선 그 차이점은? 의미, 목적, 비교 (0) | 2025.04.16 |
|---|---|
| 와류손이란? 개념, 원인, 특징, 관련 문제 (0) | 2025.04.15 |
| 진상 전류, 지상 전류란? 개념, 공식, 활용, 둘의 관계 (0) | 2025.03.28 |
| 임피던스와 어드미턴스란? 개념, 공식, 관계, 예제 문제 (0) | 2025.03.28 |
| 인덕터, 상호 인덕턴스란? 개념, 공식, 유도 전압 (0) | 2025.03.28 |