
이번 글에서는 변압기 손실 중에서 무부하손 -> 철손 -> 와류손의 개념, 원인, 특징에 대해 자세하게 다뤄보고 마지막에는 관련 문제를 풀어봄으로써 이에 대해 이해하는 시간을 가지도록 하겠습니다. 저번 글에서는 무부하손 중 히스테리시스손에 대해 다뤄봤는데, 위 개념에 대해서도 궁금하시면 이전 글을 함께 읽으시면 더 좋을 것 같습니다. 그럼 함께 알아볼까요?

✅ 와류손(Eddy Current Loss)이란?

와류손은 교류 자기장이 변화할 때, 도체 내부에 유도전류(와류)가 발생하여 생기는 에너지 손실입니다. 이 손실은 철심 내부에 흐르는 불필요한 전류에 의해 발생하는 열 손실로, 전동기, 변압기, 발전기 등의 철심이 교류 자기장에 노출될 때 주로 발생합니다. 회전자와 같은 철판에 유기되는 자기장이 시간에 따라 변화하면서 전류가 발생합니다. 이 전류를 와전류, eddy current라고 합니다. 와전류는 기존의 자기장의 방향을 왜곡하여 효율을 떨어트립니다.
▶️ 와류손의 원인

와류손은 패러데이의 전자기 유도 법칙에 따라, 시간에 따라 변화하는 자속이 철심 내부를 통과할 때 내부에 유도전류가 생기면서 발생합니다. 이 유도전류가 도체 내부를 소용돌이치듯 흐른다고 해서 "와류(Eddy Current)"라는 이름이 붙었습니다. 이 전류는 도체 내에서 폐회로를 형성하며 흐르고, 전류가 흐르는 도체는 저항이 있기 때문에 열이 발생하게 됩니다. 이것이 곧 에너지 손실, 즉 와류손입니다. 와류손을 줄이기 위해 성층 구조 (Laminated)를 사용합니다.
단면과 비슷한 형태로 단면의 최외층을 전기회로로 하여 이 단면적에 직각으로 자속이 쇄교하여 변화하면 회로에 기전력이 발생하고, 동시에 맴돌이 전류가 흐릅니다.
▶️ 와류손의 특징
- 철심 내부에서 발생하는 유도전류가 불필요한 열을 발생시켜 기기의 효율을 떨어뜨립니다.
- 주파수가 높을수록, 자속 밀도가 클수록, 철심 두께가 두꺼울수록 와류손은 커집니다.
- 이 손실은 반복적이고 예측 가능한 특성을 가지며, 부하와 무관하게 일정한 손실입니다.
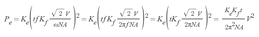
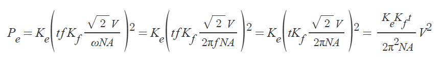
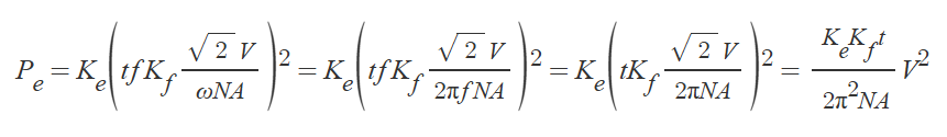
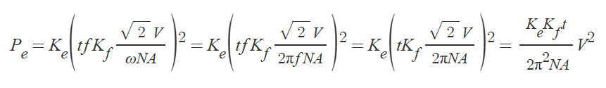
▶️ 와류손의 계산식



- : 와류손 (W)
- : 재료 상수 (와류손 계수)
- : 주파수 (Hz)
- : 최대 자속 밀도 (T)
- : 철심 두께 (m)
- : 철심의 부피 (m³)
와류손은 주파수와 자속 밀도에 제곱 비례하며, 철심 두께에 대해서도 제곱 비례하므로 얇은 판을 쓰는 것이 효과적입니다.
▶️ 와류손을 줄이는 방법
- 철심을 얇은 판재로 적층하고, 각 판 사이에 절연 처리를 합니다.
→ 전류의 흐름을 방해하여 와류 형성을 억제합니다. - 고비저항 재료 사용 (예: 규소강판)
→ 유도 전류가 작아져서 열 손실이 감소합니다. - 성층 구조 = 라미네이션(lamination) 설계
→ 두께를 줄여 와류 경로를 제한합니다.
와류손의 개념과 원리, 특징에 대해 알아보았으니 이에 관련된 기출문제 3개를 구성해보았습니다. 함께 풀어볼까요?
✅ 와류손 관련 전기기사 기출문제 3개
🔹 문제 1
다음 중 와류손을 줄이는 방법으로 가장 적절한 것은?
A. 철심의 두께를 증가시킨다.
B. 철심을 단일 블록으로 제작한다.
C. 철심을 얇은 규소강판으로 적층한다.
D. 철심의 자속밀도를 높인다.
🔹 문제 2
처음 전압이 100[V]였을 때 와류손은 5[W]이었다. 그 후 전압이 120[V]이 되었다면 와류손은?
🔹 문제 3
V가 일정할 때 주파수와 와류손의 관계는?
✅ 정답 모음
- C
- 100^2:5 = 120^2:x -> x= 7.2[W]
- 무관하다. 주파수 f는 철손 Pi와 관계가 있고 와류손과는 무관하다. (변수에 따른 와류손 계산 공식을 잘 이해하여야 합니다.)
✅ 마무리
와류손은 전자기 기기에서 효율을 떨어뜨리는 주요 손실 중 하나로, 주파수, 자속 밀도, 철심 두께에 따라 민감하게 변화합니다. 시험에서는 개념, 감소 방법, 계산식의 비례 관계를 중심으로 자주 출제되므로, 철저한 이해와 암기가 필요합니다. 위 기출문제를 통해 핵심 내용을 복습하고, 실제 시험에서도 빠르고 정확하게 문제를 해결하실 수 있기를 바랍니다.
'전기기사' 카테고리의 다른 글
| 파두장, 파미장이란? 파고값, 뇌서지, 개폐서지 (0) | 2025.04.17 |
|---|---|
| 가공지선과 매설지선 그 차이점은? 의미, 목적, 비교 (0) | 2025.04.16 |
| 히스테리시스손이란? 원인, 특징, 전기기사 문제 (0) | 2025.04.14 |
| 진상 전류, 지상 전류란? 개념, 공식, 활용, 둘의 관계 (0) | 2025.03.28 |
| 임피던스와 어드미턴스란? 개념, 공식, 관계, 예제 문제 (0) | 2025.03.28 |