본문 바로가기
  • semi engineer's study room
전기기사

정전용량이란? 개념 정리 및 공식 정리

by semi engineer 2025. 3. 18.
정전용량
정전용량

정전용량은 전도체가 전하를 저장하는 능력을 의미하며, 도체의 형태에 따라 값이 달라집니다. 구형 축전기는 두 개의 도체 사이에서 전위를 형성하는 반면, 단독 구 도체는 무한 원점을 기준으로 전위를 계산합니다. 이번 글에서는 평행판, 구형, 원통형 축전기의 정전용량 공식과 특징에 대해 자세히 다뤄보겠습니다.

 

정전용량(Capacitance) 개념과 공식 정리

정전용량(𝐶)은 전도체가 전하를 저장할 수 있는 능력을 의미하며, 단위는 패럿(F, Farad) 입니다.
기본적으로 정전용량은 전압(𝑉)과 전하(𝑄) 사이의 관계로 정의됩니다.

정전용량 공식
정전용량 공식

여기서,

  • C : 정전용량 (F, 패럿)
  • : 저장된 전하량 (C, 쿨롱)
  • : 전압 (V, 볼트)
전기기사 정전용량
전기기사 정전용량 (출처: 별별 World Topic 네이버 블로그)

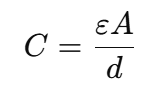
1. 평행판 축전기 (Parallel Plate Capacitor)

두 개의 평행한 도체판 사이의 정전용량은 다음과 같이 계산됩니다.

평행판 축전기 정전용량 공식
평행판 축전기 정전용량 공식

설명

  • ε : 유전체의 유전율 (ε=ε0εr)
    • ε0 : 진공의 유전율 (8.854×10−12F/m)
    • εr : 유전체의 상대 유전율
  • A : 도체판의 면적 (m^2)
  • : 두 도체판 사이의 거리 ()

특징

  • 면적 A가 클수록 정전용량 증가
  • 거리 d가 작을수록 정전용량 증가
  • 유전체를 삽입하면 εr이 커져 정전용량 증가

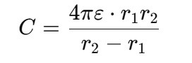
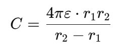
2. 구형 축전기 (Spherical Capacitor)

구형 도체 내부에 또 다른 구형 도체가 존재하는 경우, 이 시스템의 정전용량은 다음과 같습니다.

구형 축전기 정전용량 공식
구형 축전기 정전용량 공식

설명

  • r1 : 내부 도체의 반지름
  • r2 : 외부 도체의 반지름
  • ε : 유전율

특징

  • 반지름 차이가 작을수록 증가
  • 유전율이 클수록 C 증가

특수한 경우: 고립 도체구
단일 도체가 있는 경우, 무한 원점과의 정전용량은 다음과 같습니다.


여기서 r은 구의 반지름

 


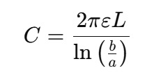
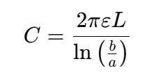
3. 원통형 축전기 (Cylindrical Capacitor) = 동축 케이블

속이 빈 원통 내부에 또 다른 원통형 도체가 존재하는 경우의 정전용량은 다음과 같습니다.

원통형 축전기 정전용량 공식
원통형 축전기 정전용량 공식

설명

  • : 원통의 길이
  • : 내부 원통의 반지름
  • : 외부 원통의 반지름
  • ε : 유전율

특징

  • 이 길수록 C 증가
  • b의 차이가 작을수록 C 증가
  • 유전율이 클수록 증가

정전용량 비교 요약

정전용량 공식 정리
정전용량 공식 정리

📌 정리 및 응용

  • 정전용량은 전기장을 저장하는 능력을 나타내며, 도체의 형태와 유전율에 따라 값이 달라짐
  • 유전체(절연체)를 삽입하면 정전용량 증가
  • 거리 d가 증가하면 평행판 축전기의 정전용량 감소
  • 반지름이 커질수록 구형 및 원통형 정전용량 증가

 

 

구형 축전기와 단독 구 도체의 차이는?


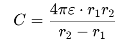
1. 구형 축전기 (Spherical Capacitor)

두 개의 도체(구형 전극)로 구성된 축전기입니다.
내부 도체(반지름 r1)와 외부 도체(반지름 r2) 사이에 전위를 형성하여 전하를 저장합니다.

정전용량 공식

구형 축전기 정전용량 공식
구형 축전기 정전용량 공식

 

✔ 내부 도체와 외부 도체 사이의 공간이 유전체로 채워질 수 있습니다.
두 도체 사이의 거리(r2 )가 좁을수록 정전용량이 커집니다.

💡 예시

  • 내부 금속 구(전하 +Q)와 외부 금속 구(전하 -Q)로 구성된 시스템
  • 고전압 커패시터 설계에서 사용

2. 고립 도체 구 (Isolated Sphere)

주변에 도체가 없는 단독 구 형태의 도체입니다.
✔ 주변이 진공 또는 유전체로 둘러싸여 있으며, 전위를 무한 원점 기준으로 계산합니다.

정전용량 공식

고립 도체구 정전용량 공식
고립 도체구 정전용량 공식

✔ 반지름이 커질수록 정전용량이 커집니다.
✔ 전하를 저장할 수는 있지만, 비교적 낮은 정전용량을 가집니다.

💡 예시

  • 대전된 금속 구
  • 지구(구형 도체로 간주됨)의 정전용량

🔥 차이점 요약

구형 축전기 단독 구 도체 비교
구형 축전기와 단독 구 도체 차이점

 

📌 핵심 정리

  • 구형 축전기는 두 개의 도체로 이루어진 시스템이며, 내부-외부 도체 간 전위차를 이용해 정전용량이 커짐.
  • 고립 도체 구(단독 구 도체)는 외부에 도체가 없으며, 전위를 무한대 기준으로 계산하므로 정전용량이 상대적으로 작음.

 


이번 글에서는 평행판, 구형, 원통형 축전기의 정전용량 공식과 특징에 대해 자세히 다루고 비교 정리를 해보았습니다. 추가로 구형 축전기와 고립 도체구의 차이점을 심화 비교하여 정전용량에 대한 이해를 높였습니다. 물리학, 전자기학을 공부하거나 전기기사, NCS 전기 시험을 준비하시는 모든 분들! 차근차근 준비하면 반드시 목표를 이룰 수 있습니다. 끝까지 파이팅하세요!