
전자기 유도 현상은 우리 일상에서 중요한 역할을 하며, 발전기, 모터, 변압기와 같은 다양한 전자기 기기의 원리가 됩니다. 이러한 현상을 설명하는 핵심 법칙이 바로 패러데이의 전자기 유도 법칙과 렌츠의 법칙입니다! 이번 글을 통해 이 두 법칙의 원리와 수식을 이해하고, 실생활에서 어떻게 적용되는지 살펴볼까요?
패러데이의 법칙 & 렌츠의 법칙
패러데이와 렌츠의 법칙은 전자기 유도 현상을 설명하는 중요한 법칙입니다.
1. 패러데이의 전자기 유도 법칙 (Faraday's Law of Electromagnetic Induction)

- 정의:
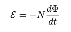
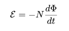
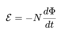
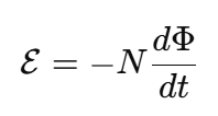
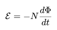
변화하는 자기장은 전압(기전력, EMF)을 유도하며, 이때의 유도 기전력(E)은 자기선속(Φ)의 시간 변화율에 비례한다.

여기서,
- E : 유도 기전력(V)
- N : 코일의 감은 수
- Φ : 자기선속 (Wb, Weber)
- dΦ : 자기선속의 변화율
📌 핵심 개념
- 자기장이 변하면 코일에 전류가 흐름 (자기장 변화 → 전류 유도)
- 자기장의 변화 속도가 클수록 유도 전압도 커짐
- 자기선속(Φ=B⋅A)이 변하면 전류가 생김 (B: 자기장, A: 면적)
여기서 유도기전력이란?
유도 기전력 (Induced EMF, Electromotive Force)
유도 기전력(Induced EMF)이란 변화하는 자기장에 의해 도체 또는 코일에 유도되는 전압을 의미합니다. 쉽게 말해, 자기장이 변할 때 전류를 흐르게 할 수 있는 전압이 생성되는 것입니다.
1. 유도 기전력의 원리
패러데이의 전자기 유도 법칙에 따르면, 자기선속(자기장이 통과하는 면적)이 변하면 코일에 전압이 유도된다.
이를 수식으로 나타내면 다음과 같다:

- : 유도 기전력(V, 볼트)
- : 코일의 감은 수(턴 수)
- Φ : 자기선속 (Φ=B⋅A, 자기장 와 면적 의 곱)
- dΦ : 자기선속의 변화율
즉, 자기장이 빠르게 변할수록, 코일을 많이 감을수록 유도 기전력이 커집니다.
2. 유도 기전력이 발생하는 경우
유도 기전력은 다음과 같은 경우에 발생할 수 있습니다.
(1) 코일을 통과하는 자기장이 변할 때
- 자석을 코일에 가까이 가져가거나 멀리할 때
- 전자기 유도 실험에서 코일 속 자석을 흔들 때
(2) 코일이 자기장 속에서 움직일 때
- 발전기에서 코일이 회전하면서 자기장을 가로지를 때
- 전자기 유도 실험에서 코일을 움직일 때
(3) 코일 주위의 전류가 변할 때
- 변압기에서 1차 코일에 교류 전류를 흘려 2차 코일에 유도 전류가 발생하는 원리
2. 렌츠의 법칙 (Lenz's Law)
- 정의:
유도 전류의 방향은 자기장의 변화를 방해하는 방향으로 흐른다. - 설명:
- 코일 내부 자기장이 증가하면, 유도 전류는 이를 줄이려는 방향으로 형성됨
- 코일 내부 자기장이 감소하면, 유도 전류는 이를 늘리려는 방향으로 형성됨
- 렌츠의 법칙을 반영한 패러데이 법칙: 여기서 마이너스 부호(-)는 렌츠의 법칙을 의미

📌 핵심 개념
- 유도 전류는 자기장의 변화를 방해하는 방향으로 흐름
- 에너지가 보존되도록 작용함
- 전자기적 관성 역할을 함
간단하게 패러데이의 전자기 유도 법칙과 렌츠의 법칙의 핵심 개념과 공식에 대해 살펴보았는데요,
이와 관련된 문제를 풀어보면서 각 개념들을 명확하게 이해해 볼까요?
문제 1
다음 중 패러데이의 전자기 유도 법칙에 대한 설명으로 옳지 않은 것은?
- 자기선속이 일정할 때에도 유도 기전력이 발생한다.
- 자기선속이 빠르게 변할수록 유도 기전력이 커진다.
- 코일의 감은 수(N)가 많을수록 유도 기전력이 커진다.
- 유도 기전력은 자기선속 변화율에 비례한다.
문제 2
코일에 자석을 가까이 가져가면 유도 전류가 흐른다. 이때 유도 전류의 방향을 결정하는 법칙은?
- 옴의 법칙
- 플레밍의 왼손 법칙
- 렌츠의 법칙
- 패러데이의 법칙
문제 3
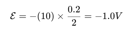
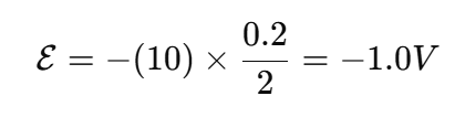
자기장 0.2 T인 공간에서 면적 0.5㎡의 코일이 놓여 있다. 자기장이 2초 동안 0.6 T로 증가했다면, 이 코일에서 유도되는 평균 기전력은? (코일 감은 수 N=10)
- 1.0 V
- 1.5 V
- 2.0 V
- 2.5 V
문제 정답
문제 1 정답: 1)
- 자기선속이 변할 때 유도 기전력이 발생한다.
- 일정할 때는 유도 전류가 흐르지 않음.
문제 2 정답: 3)
- 렌츠의 법칙에 따라 유도 전류는 자기장의 변화를 방해하는 방향으로 흐름.
문제 3 풀이 및 정답
패러데이 법칙:

자기선속 변화량:

기전력:

절댓값을 취하면 1.0 V
문제 3 정답: 1)
패러데이의 법칙과 렌츠의 법칙은 전자기 유도 현상을 이해하는 데 필수적인 개념입니다. 패러데이 법칙과 렌츠의 법칙은 발전기, 유도 충전, 자기 부상열차 등 다양한 기술에 응용되며, 현대 과학과 공학의 발전에 큰 기여를 하고 있습니다. 전자기 유도 현상의 원리를 깊이 이해하여 전자기 문제 풀이 또는 실생활에 잘 활용해봅시다 :)
'전기기사' 카테고리의 다른 글
| 코로나 방전이란? 발생 원리, 특징, 섬락과 차이점 (0) | 2025.03.19 |
|---|---|
| 섬락이란? 전력 설비에서 중요한 뇌섬락과 역섬락 (0) | 2025.03.19 |
| 플레밍 왼손 법칙, 오른손 법칙, 오른 나사 법칙 쉬운 정리 (0) | 2025.03.18 |
| 정전용량이란? 개념 정리 및 공식 정리 (0) | 2025.03.18 |
| 전력공학 수력, 화력, 원자력 비교 정리 (0) | 2025.03.18 |