
베르누이의 정리(Bernoulli’s Theorem)는 유체역학에서 아주 중요한 개념 중 하나로, 유체 내에서 에너지가 보존된다는 것을 말합니다. 이를 이해하려면 먼저 전제 조건과 함께 세 가지 에너지 형태를 알아야 해요. 이후 전기기사에 베르누이 정리가 어떻게 사용되고 있는지 함께 알아보며 글을 마치도록 하겠습니다.
베르누이의 정리 (Bernoulli's equation)는 1738년 네덜란드 과학자 다니엘 베르누이가 발표한 정리입니다.
운동하고 있는 유체(공기, 액체)내에서 속력, 압력, 높이의 관계를 나타내는 유체역학의 정리를 말합니다.
🔧 전제 조건 (베르누이 정리가 성립하기 위한 조건)
- 비압축성 유체 (밀도가 일정한 유체)
- 비점성 유체 (마찰이 없는 유체)
- 유선 흐름 (turbulence 없는, 층류 흐름)
- 외부에서 에너지 추가 X (펌프나 터빈 없음)
이 조건들을 만족하는 흐름에서, 유체의 한 지점에서 다른 지점까지 에너지가 보존된다는 게 핵심입니다.
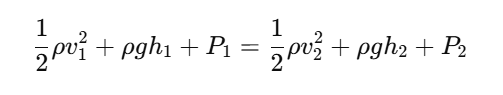
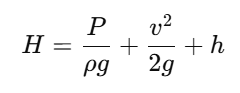
📐 베르누이 방정식 (기본 형태)

또는 한 단면에서 다른 단면으로 비교하는 형태로:

여기서,
| ρ | 유체의 밀도 | kg/m³ |
| 유체의 속도 | m/s | |
| 중력 가속도 (9.8 m/s²) | m/s² | |
| 위치 에너지의 기준 높이 | m | |
| 정압(pressure energy) | Pa |
⚡ 세 가지 에너지의 의미
1. 운동 에너지 (Kinetic Energy)

→ 유체가 빠르게 흐를수록 에너지가 커짐
2. 위치 에너지 (Potential Energy)

→ 높은 위치에 있을수록 에너지가 큼
3. 압력 에너지 (Pressure Energy)

→ 유체에 작용하는 압력, 밀폐된 공간에서 중요한 역할
💡 쉽게 이해하는 예시
🔹 수도관의 물 흐름
좁아지는 파이프에서 물이 빠르게 흐르는 걸 본 적 있나요?
그 이유가 바로 베르누이의 정리 때문입니다.
- 좁은 관 → 속도 ↑ → 압력 ↓
- 넓은 관 → 속도 ↓ → 압력 ↑
이런 현상은 비행기의 날개가 양력을 받는 원리나 스프레이 노즐에도 적용돼요.
✈️ 응용 예시
- 비행기 날개 양력 생성
- 윗면은 공기 흐름이 빠름 → 압력 낮음
- 아랫면은 공기 흐름이 느림 → 압력 높음
→ 압력 차 → 양력 발생
- 분무기, 스프레이
- 빠르게 흐르는 공기가 압력을 낮춤
- 액체가 빨려 올라가서 분사됨
- 피토관 (비행기 속도 측정기)
- 정압과 동압을 측정해서 속도 계산
전기기사에서는 주로 전기 설비, 전력 설비, 송배전, 기기 등에 초점이 맞춰져 있지만, 베르누이 정리는 직접적으로 수력 발전, 냉각 시스템, 펌프 설계 및 해석 등 에너지 변환과 유체 흐름이 관련된 부분에서 간접적으로 또는 보조적인 이론으로 사용됩니다.
✅ 전기기사에서 베르누이 정리가 이용되는 분야
1. ⚡ 수력 발전소 설계와 해석


✔️ 활용 맥락:
수력 발전은 물의 위치 에너지를 이용해 전기를 생산하는 시스템이므로, 유체의 에너지 보존 법칙인 베르누이 정리가 핵심 이론 중 하나로 쓰입니다.
✔️ 예시:
- 댐 위의 높은 위치에서 물이 하류의 터빈 쪽으로 낙하할 때,
- 물의 위치 에너지 → 운동 에너지로 변환,
- 터빈을 돌리기 위해 필요한 유속과 압력 차 계산 시 베르누이 정리를 사용합니다.
✔️ 수식 예:

이 방정식을 통해 물의 낙차에 따른 속도를 구하거나 터빈에서 발생 가능한 동력을 계산할 수 있어요.
2. 💧 펌프 및 송수관 시스템의 유압 해석
✔️ 활용 맥락:
- 전기기사는 펌프 설비의 동작원리, 수두 손실 계산, 유속과 압력 관계를 이해해야 합니다.
- 이때 배관 내에서 유체가 흐를 때 속도, 압력, 높이 변화를 베르누이 정리로 계산합니다.
✔️ 예시:
- 수두(head) 계산:

이 식은 실제 펌프에서 요구되는 양정(수두) 계산 시 사용됨.
- 펌프가 공급해야 할 동력(Power):

→ 여기서 는 베르누이 정리를 기반으로 계산된 수두.
3. 🌀 냉각 시스템 설계 (변압기 및 발전기 냉각)
✔️ 활용 맥락:
- 변압기나 발전기 내부를 냉각하기 위해 기체나 액체 냉매가 흐르는데, 이 냉매 흐름을 설계할 때 베르누이 정리를 활용해 속도와 압력 분포를 해석합니다.
💬 정리하자면:

실제 전기기사 필기 기출문제
문제1. 유효낙차 100m, 최대사용수량 20m^2/s, 수차 효율 70%인 수력 발전소의 연간 발전 전력량은 약 몇 kWh인가? 단, 발전기의 효율은 85%라고 가정한다.
1. 2.5 x 10^7
2. 5 x 10^7
3. 10 x 10^7
4. 20 x 10^7
답: 3
풀이:

실기에서는 직접 베르누이 방정식을 묻기보다는 양정, 펌프 동력, 수두, 유속 등을 묻는 문제에 기본 이론으로 깔려 있어요.수차 발전과 양정 계산 문제는 자주 출제되니, 베르누이 정리를 활용한 속도–압력–고도 관계 해석을 확실히 이해해두면 좋아요. 실제 전기기사 필기 기출 문제를 풀어보면서 마무리해보았습니다. 전기기사 준비 잘하시길 응원합니다 :) 💗
'전기기사' 카테고리의 다른 글
| 동기 전동기 위상특성곡선(V곡선)이란? 동기 전동기 작동 원리, 기동 방법 (0) | 2025.04.22 |
|---|---|
| 전기기사 논리식, 논리등가회로, 드모르간의 법칙, 불 대수 (0) | 2025.04.21 |
| 계기용 변압기란? 권선형, 콘덴서형, CT, PT? (0) | 2025.04.19 |
| 파두장, 파미장이란? 파고값, 뇌서지, 개폐서지 (0) | 2025.04.17 |
| 가공지선과 매설지선 그 차이점은? 의미, 목적, 비교 (0) | 2025.04.16 |